🇳🇴 🇬🇧 🇩🇪 🇨🇿 🇫🇮

Meteor über Otta 2024-11-04 00:58:56 UTC

KML-Datei  |  Interaktive Karte

Die Karte zeigt die Peilungen für den Meteor. Die helleren Linien zeigen die Richtungen von den Beobachtungsorten beim Erscheinen des Meteors, und die dunkleren Linien, wo er zuletzt gesehen wurde. Der blaue Pfeil zeigt die sichtbare Bahn des Meteors.

static map
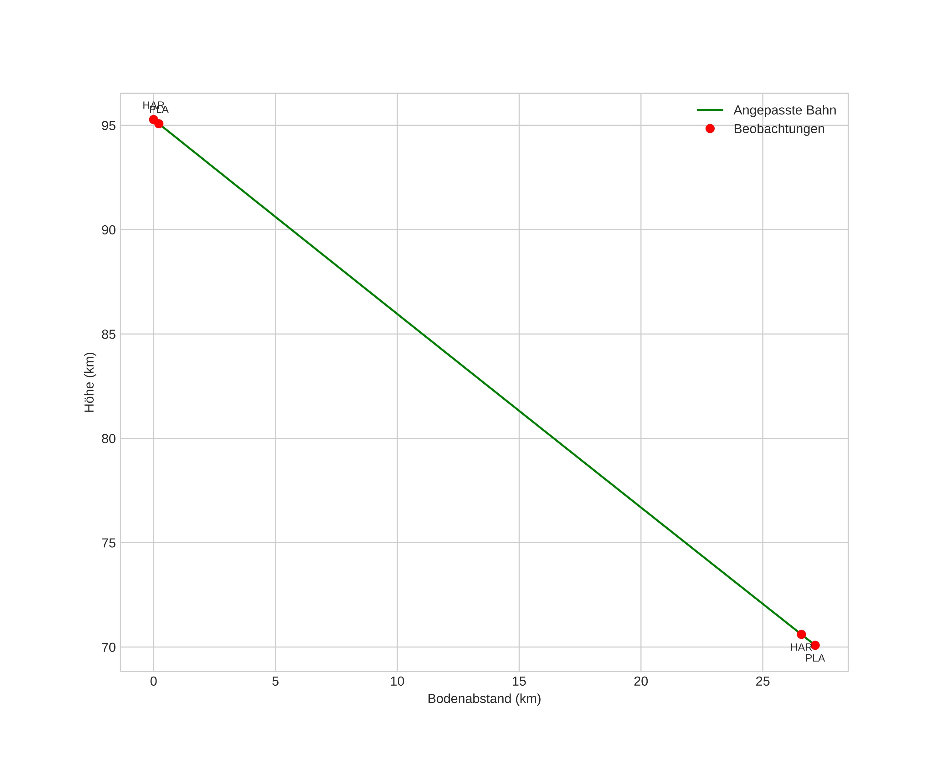
height profile
Atmosphärische Bahn des Meteors:
Anfangshöhe: 95,6 km
Endhöhe: 69,3 km
Startposition: 61,550N 9,457E
Endposition: 61,789N 9,648E
Richtung: 20,7°
Neigungswinkel: 42,9°
Eintrittsgeschwindigkeit: 29,3 km/s
Rektaszension des Radianten: 03:24 (51,1°)
Deklination des Radianten: 13,7°
Meteorstrom: Südliche Tauriden
Bahnelemente des Meteoroiden:
Periheldistanz: 0,387 AU
Exzentrizität: 0,817
Inklination: 5,2°
Länge des aufsteigenden Knotens: 41,8°
Argument des Perihels: 110,8°
Mittlere Anomalie: 346,1°
Epoche: 2024 NOV 04 00:58:56
orbit plot

Nicht-interaktives Diagramm | Interaktives Diagramm

position vs time
speed and acceleration

Plassen (PLA) cam5

gnomonic
Videos
Bilder
• Original
Textdateien
• Erkennung
• Beobachtung
• Koordinaten
• Protokoll
Helligkeit