🇳🇴 🇬🇧 🇩🇪 🇨🇿 🇫🇮

Meteor, poloha: Oppdal 2024-11-04 17:55:09 UTC

Soubor KML  |  InteraktivnĂ­ mapa

Mapa zobrazuje dráhy meteoru. Světlejší čáry ukazují směry od pozorovacích stanic při objevení se meteoru a tmavší čáry, kde byl naposledy viděn. Modrá šipka značí viditelnou dráhu meteoru.

static map
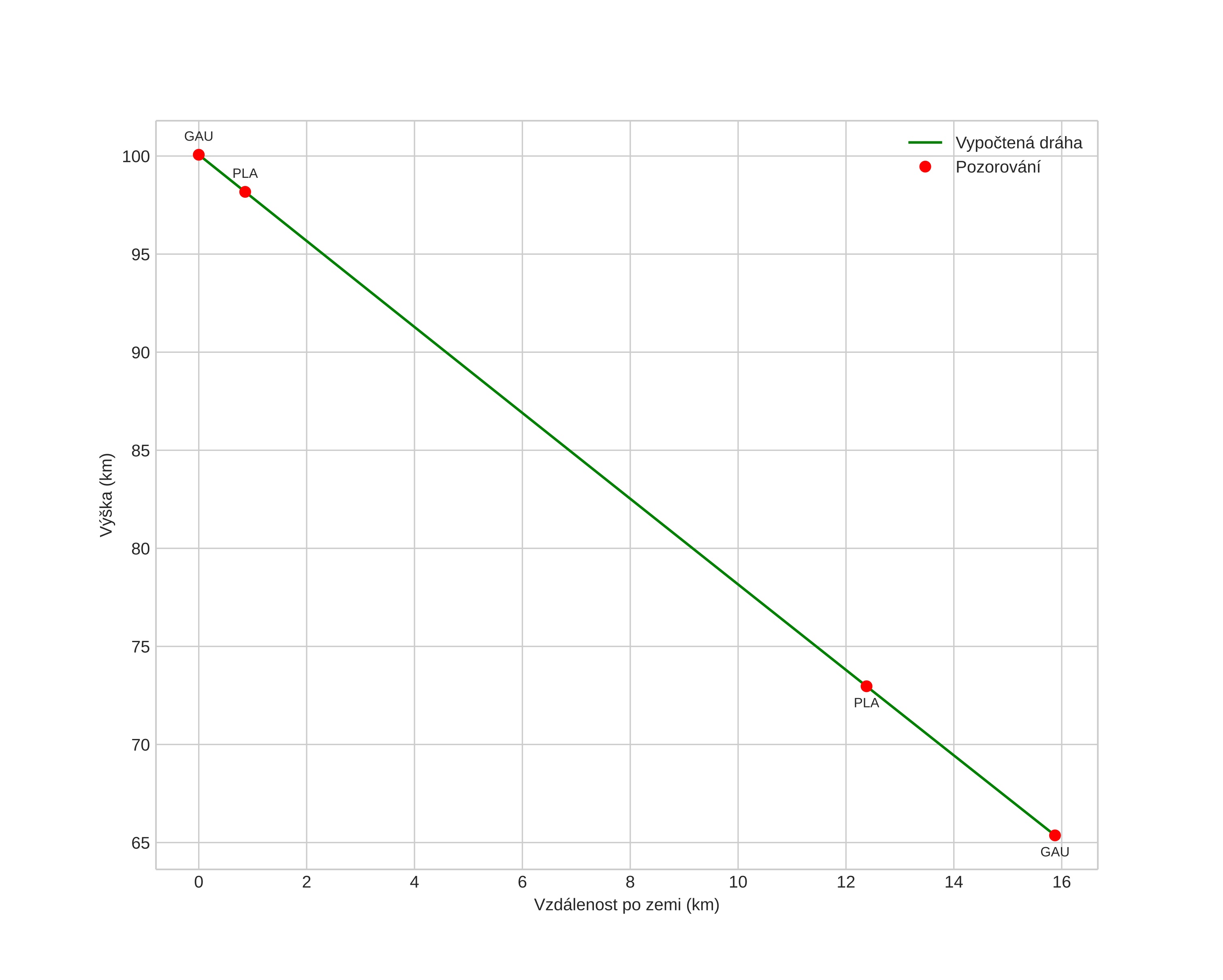
height profile
Atmosférická dráha meteoru:
Počáteční výška: 100,7 km
Konečná výška: 65,6 km
Počáteční poloha: 62,982N 9,424E
Konečná poloha: 62,845N 9,521E
Směr: 162,2°
Sklon: 65,5°
VstupnĂ­ rychlost: 36,6 km/s
Rektascenze radiantu: 16:58 (254,7°)
Deklinace radiantu: 81,6°
MeteorickĂ˝ roj: sporadickĂ˝
Elementy dráhy meteoroidu:
Vzdálenost v periheliu: 0,971 AU
Excentricita: 0,864
Sklon dráhy: 56,5°
Délka vzestupného uzlu: 222,5°
Argument perihelia: 197,3°
Střední anomálie: 359,4°
Epocha: 2024 NOV 04 17:55:09
orbit plot

NeinteraktivnĂ­ graf | InteraktivnĂ­ graf

position vs time
speed and acceleration

Plassen (PLA) cam1

gnomonic
Videa
Obrázky
• Původní
Textové soubory
• Detekce
• Pozorování
• Souřadnice
• Protokol
Jasnost