🇳🇴 🇬🇧 🇩🇪 🇨🇿 🇫🇮

Meteor Oppdalin yllä 2024-11-04 17:55:09 UTC

KML-tiedosto  |  Interaktiivinen kartta

Kartta näyttää meteorin suuntahavainnot. Vaaleammat viivat näyttävät suunnat havaintoasemilta meteorin ilmestyessä, ja tummemmat viivat näyttävät, missä se viimeksi nähtiin. Sininen nuoli näyttää meteorin näkyvän lennon.

static map
height profile
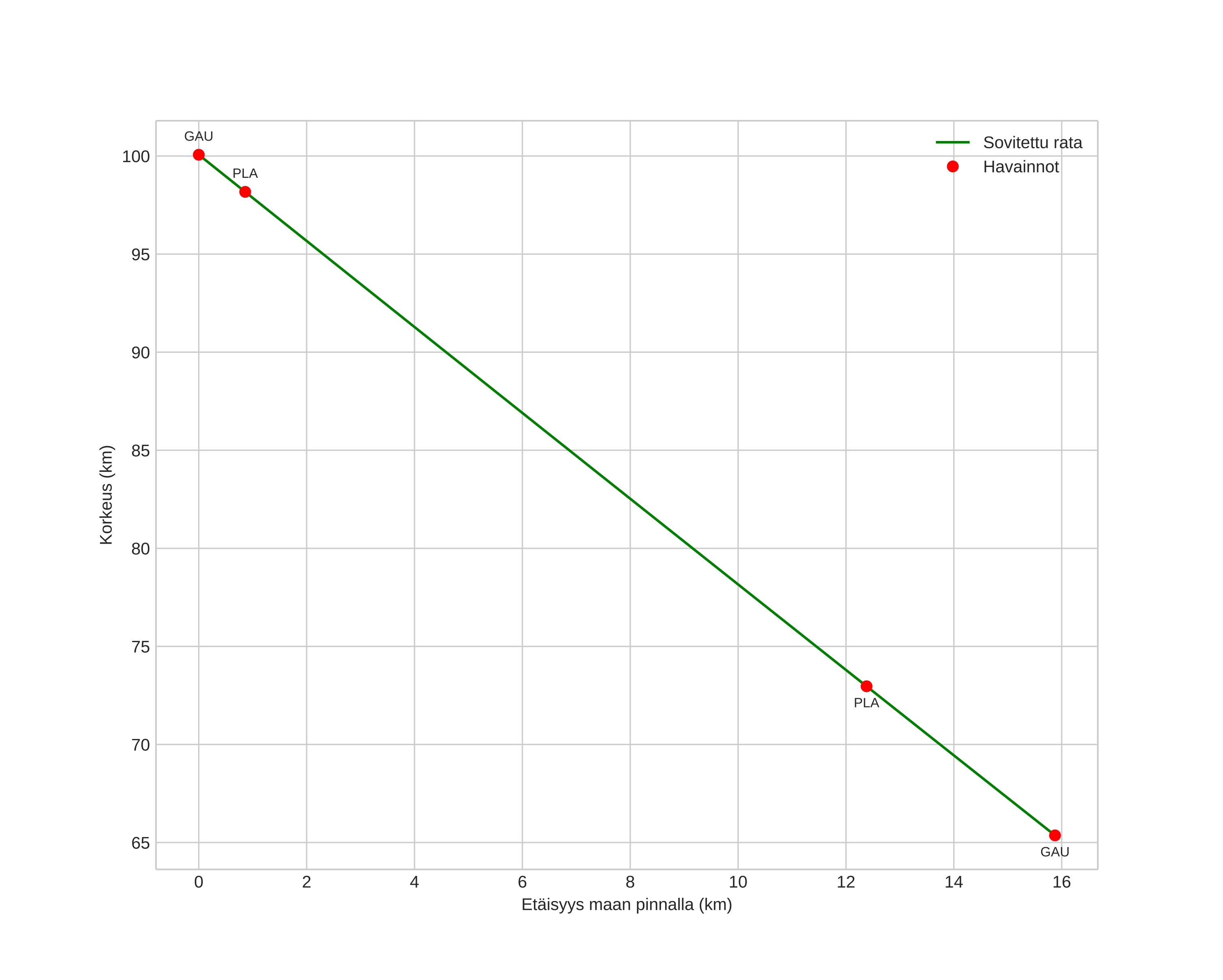
Meteorin ilmakehärata:
Alkukorkeus: 100,7 km
Loppukorkeus: 65,6 km
Alkupiste: 62,982N 9,424E
Loppupiste: 62,845N 9,521E
Suunta: 162,2°
Kallistuskulma: 65,5°
Tulonopeus: 36,6 km/s
Radiantin R,A,: 16:58 (254,7°)
Radiantin Dekl,: 81,6°
Meteoriparvi: Sporadinen
Meteoroidin rataelementit:
Perihelietäisyys: 0,971 AU
Eksentrisyys: 0,864
Inklinaatio: 56,5°
Nousevan solmun pituus: 222,5°
Perihelin argumentti: 197,3°
Keskianomalia: 359,4°
Epookki: 2024 NOV 04 17:55:09
orbit plot

Ei-interaktiivinen kuvaaja | Interaktiivinen kuvaaja

position vs time
speed and acceleration

Plassen (PLA) cam1

gnomonic
Videot:
Kuvat:
• Alkuperäinen
Tekstitiedostot:
• Havaintoraportti
• Observaatio
• Koordinaatit
• Loki
Kirkkaus