🇳🇴 🇬🇧 🇩🇪 🇨🇿 🇫🇮

Meteor, poloha: Lillehammer 2024-11-04 19:59:26 UTC

Soubor KML  |  InteraktivnĂ­ mapa

Mapa zobrazuje dráhy meteoru. Světlejší čáry ukazují směry od pozorovacích stanic při objevení se meteoru a tmavší čáry, kde byl naposledy viděn. Modrá šipka značí viditelnou dráhu meteoru.

static map
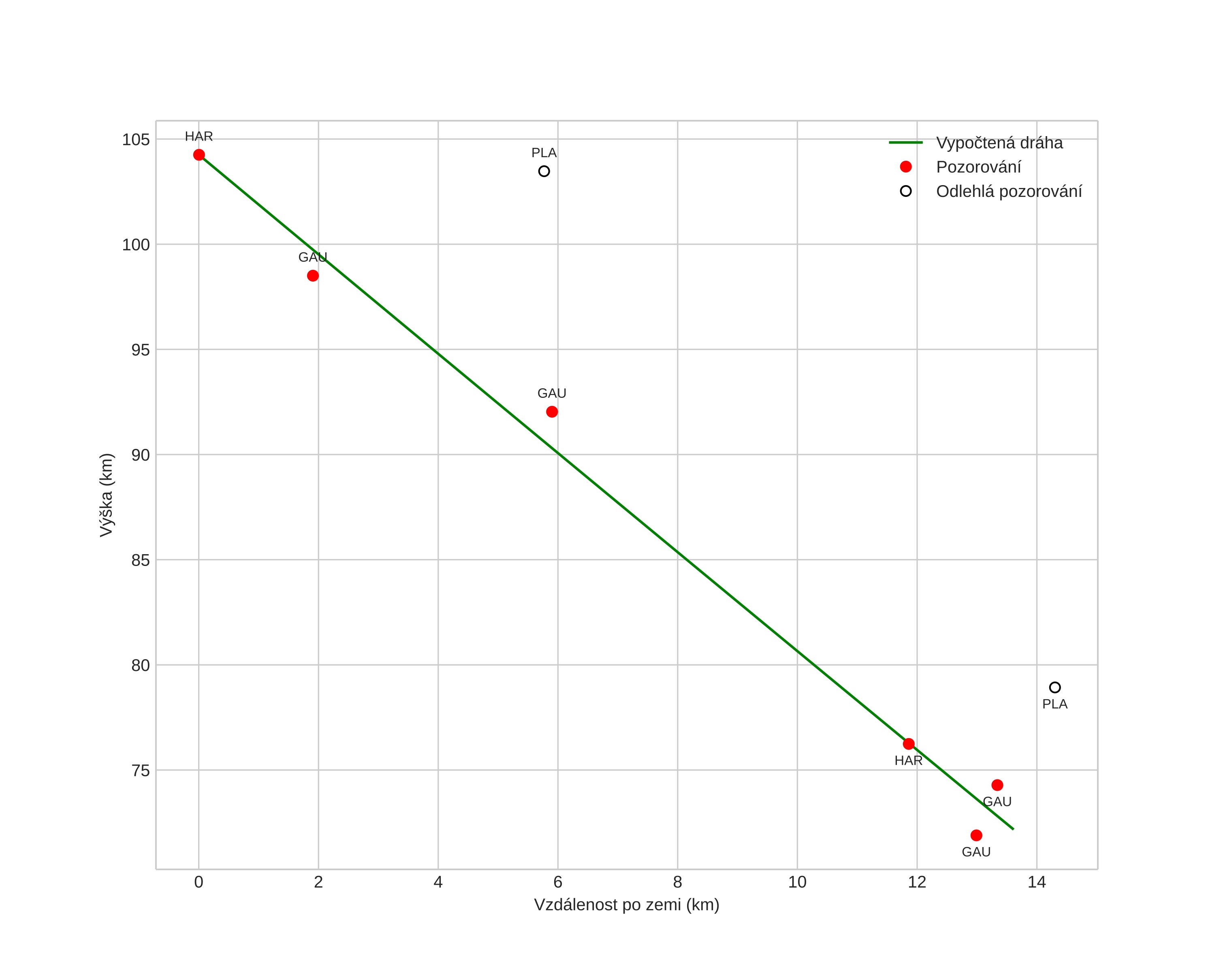
height profile
Atmosférická dráha meteoru:
Počáteční výška: 104,5 km
Konečná výška: 69,9 km
Počáteční poloha: 61,422N 10,976E
Konečná poloha: 61,394N 10,710E
Směr: 257,7°
Sklon: 67,3°
VstupnĂ­ rychlost: 41,1 km/s
Rektascenze radiantu: 02:42 (40,5°)
Deklinace radiantu: 57,9°
MeteorickĂ˝ roj: sporadickĂ˝
Elementy dráhy meteoroidu:
Vzdálenost v periheliu: 0,579 AU
Excentricita: 1,133
Sklon dráhy: 49,2°
Délka vzestupného uzlu: 222,6°
Argument perihelia: 257,5°
Střední anomálie: -3,8°
Epocha: 2024 NOV 04 19:59:26
orbit plot

NeinteraktivnĂ­ graf | InteraktivnĂ­ graf

position vs time
speed and acceleration

Plassen (PLA) cam6

gnomonic
Videa
Obrázky
• Původní
Textové soubory
• Detekce
• Pozorování
• Souřadnice
• Protokol
Jasnost