🇳🇴 🇬🇧 🇩🇪 🇨🇿 🇫🇮

Meteor Lillehammerin yllä 2024-11-04 19:59:26 UTC

KML-tiedosto  |  Interaktiivinen kartta

Kartta näyttää meteorin suuntahavainnot. Vaaleammat viivat näyttävät suunnat havaintoasemilta meteorin ilmestyessä, ja tummemmat viivat näyttävät, missä se viimeksi nähtiin. Sininen nuoli näyttää meteorin näkyvän lennon.

static map
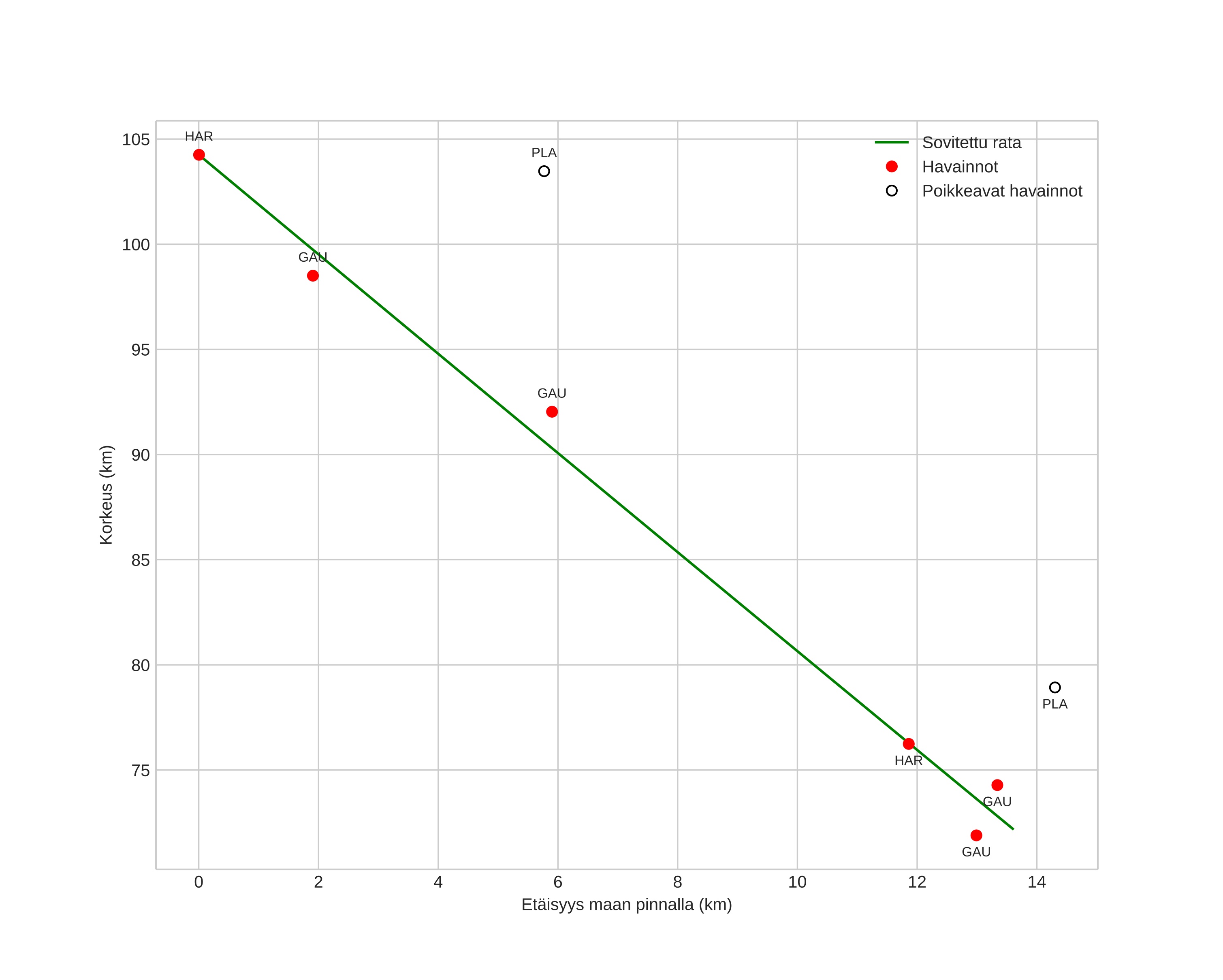
height profile
Meteorin ilmakehärata:
Alkukorkeus: 104,5 km
Loppukorkeus: 69,9 km
Alkupiste: 61,422N 10,976E
Loppupiste: 61,394N 10,710E
Suunta: 257,7°
Kallistuskulma: 67,3°
Tulonopeus: 41,1 km/s
Radiantin R,A,: 02:42 (40,5°)
Radiantin Dekl,: 57,9°
Meteoriparvi: Sporadinen
Meteoroidin rataelementit:
Perihelietäisyys: 0,579 AU
Eksentrisyys: 1,133
Inklinaatio: 49,2°
Nousevan solmun pituus: 222,6°
Perihelin argumentti: 257,5°
Keskianomalia: -3,8°
Epookki: 2024 NOV 04 19:59:26
orbit plot

Ei-interaktiivinen kuvaaja | Interaktiivinen kuvaaja

position vs time
speed and acceleration

Plassen (PLA) cam6

gnomonic
Videot:
Kuvat:
• Alkuperäinen
Tekstitiedostot:
• Havaintoraportti
• Observaatio
• Koordinaatit
• Loki
Kirkkaus