🇳🇴 🇬🇧 🇩🇪 🇨🇿 🇫🇮

Meteor, poloha: Kirkja 2024-11-04 20:58:43 UTC

Soubor KML  |  InteraktivnĂ­ mapa

Mapa zobrazuje dráhy meteoru. Světlejší čáry ukazují směry od pozorovacích stanic při objevení se meteoru a tmavší čáry, kde byl naposledy viděn. Modrá šipka značí viditelnou dráhu meteoru.

static map
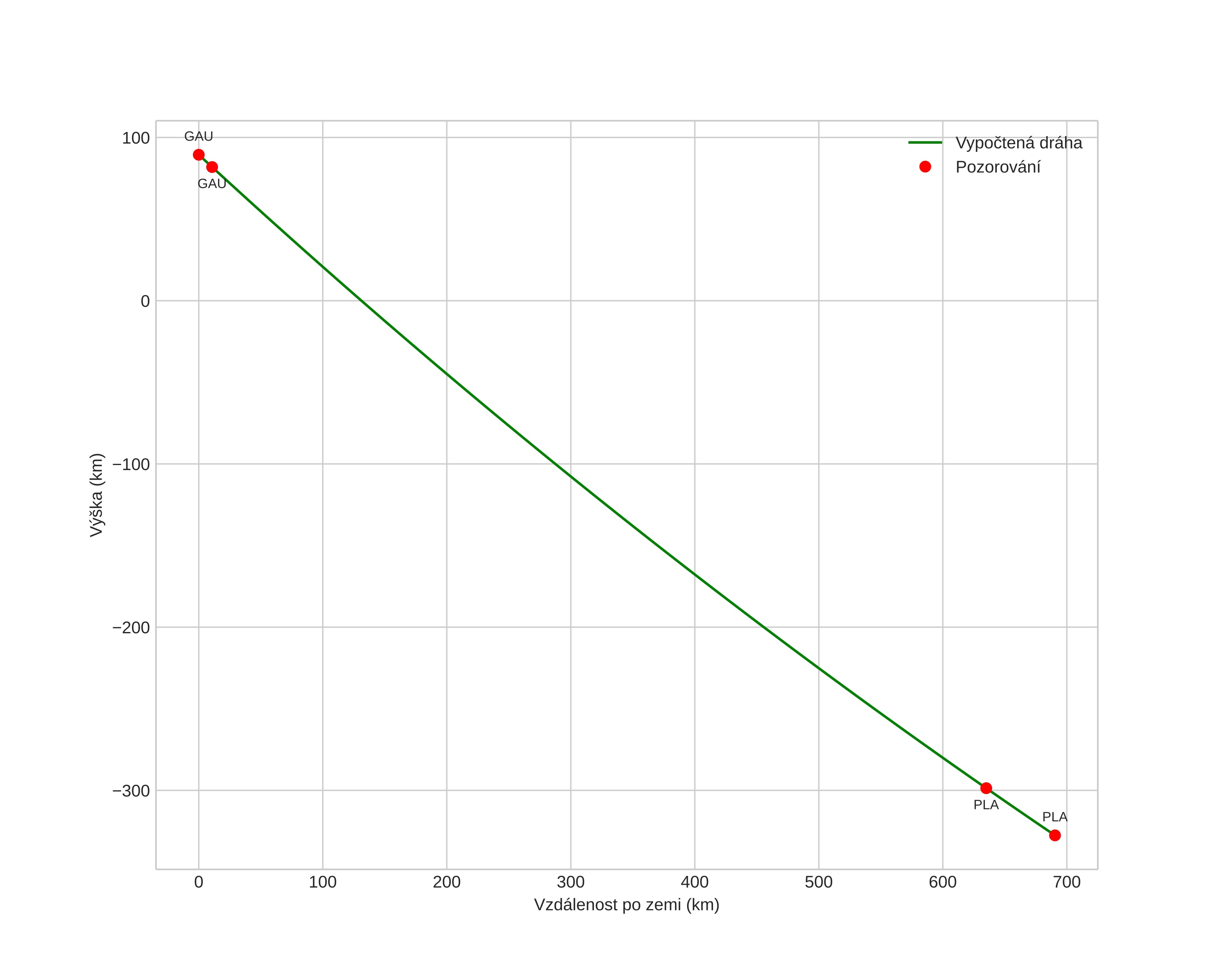
height profile
Atmosférická dráha meteoru:
Počáteční výška: 90,1 km
Konečná výška: -327,4 km
Počáteční poloha: 60,147N 7,247E
Konečná poloha: 62,538N -4,740E
Směr: 297,8°
Sklon: 31,1°
VstupnĂ­ rychlost: 30,3 km/s
Rektascenze radiantu: 03:53 (58,3°)
Deklinace radiantu: 12,4°
MeteorickĂ˝ roj: JiĹľnĂ­ Tauridy
Elementy dráhy meteoroidu:
Vzdálenost v periheliu: 0,314 AU
Excentricita: 0,808
Sklon dráhy: 9,6°
Délka vzestupného uzlu: 42,6°
Argument perihelia: 122,0°
Střední anomálie: 339,5°
Epocha: 2024 NOV 04 20:58:43
orbit plot

NeinteraktivnĂ­ graf | InteraktivnĂ­ graf

position vs time
speed and acceleration

Plassen (PLA) cam2

gnomonic
Videa
Obrázky
• Původní
Textové soubory
• Detekce
• Pozorování
• Souřadnice
• Protokol
Jasnost