🇳🇴 🇬🇧 🇩🇪 🇨🇿 🇫🇮

Meteor Kirkjan yllä 2024-11-04 20:58:43 UTC

KML-tiedosto  |  Interaktiivinen kartta

Kartta näyttää meteorin suuntahavainnot. Vaaleammat viivat näyttävät suunnat havaintoasemilta meteorin ilmestyessä, ja tummemmat viivat näyttävät, missä se viimeksi nähtiin. Sininen nuoli näyttää meteorin näkyvän lennon.

static map
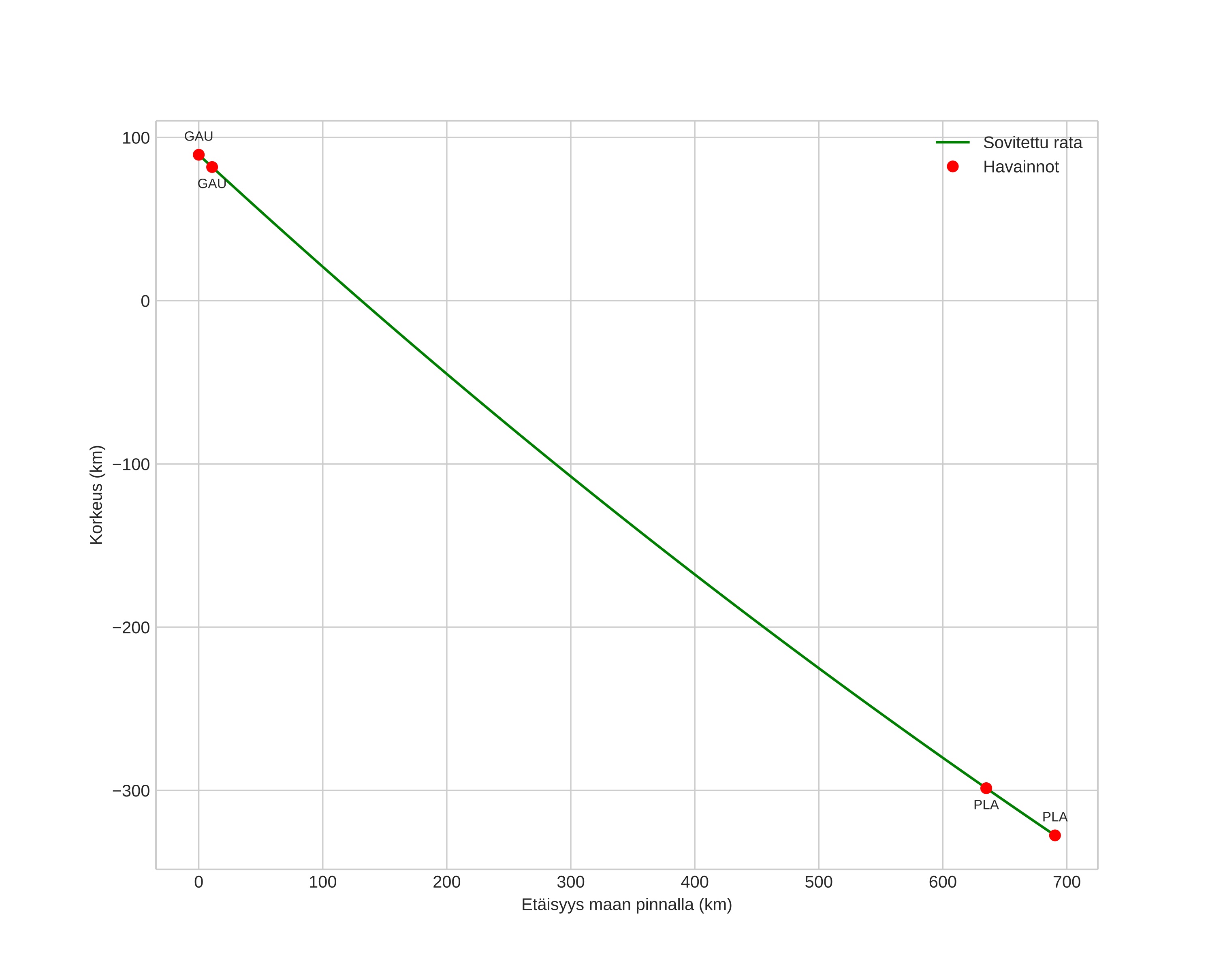
height profile
Meteorin ilmakehärata:
Alkukorkeus: 90,1 km
Loppukorkeus: -327,4 km
Alkupiste: 60,147N 7,247E
Loppupiste: 62,538N -4,740E
Suunta: 297,8°
Kallistuskulma: 31,1°
Tulonopeus: 30,3 km/s
Radiantin R,A,: 03:53 (58,3°)
Radiantin Dekl,: 12,4°
Meteoriparvi: Eteläiset tauridit
Meteoroidin rataelementit:
Perihelietäisyys: 0,314 AU
Eksentrisyys: 0,808
Inklinaatio: 9,6°
Nousevan solmun pituus: 42,6°
Perihelin argumentti: 122,0°
Keskianomalia: 339,5°
Epookki: 2024 NOV 04 20:58:43
orbit plot

Ei-interaktiivinen kuvaaja | Interaktiivinen kuvaaja

position vs time
speed and acceleration

Plassen (PLA) cam2

gnomonic
Videot:
Kuvat:
• Alkuperäinen
Tekstitiedostot:
• Havaintoraportti
• Observaatio
• Koordinaatit
• Loki
Kirkkaus