🇳🇴 🇬🇧 🇩🇪 🇨🇿 🇫🇮

Meteor, poloha: Ulvik 2024-11-04 21:08:33 UTC

Soubor KML  |  InteraktivnĂ­ mapa

Mapa zobrazuje dráhy meteoru. Světlejší čáry ukazují směry od pozorovacích stanic při objevení se meteoru a tmavší čáry, kde byl naposledy viděn. Modrá šipka značí viditelnou dráhu meteoru.

static map
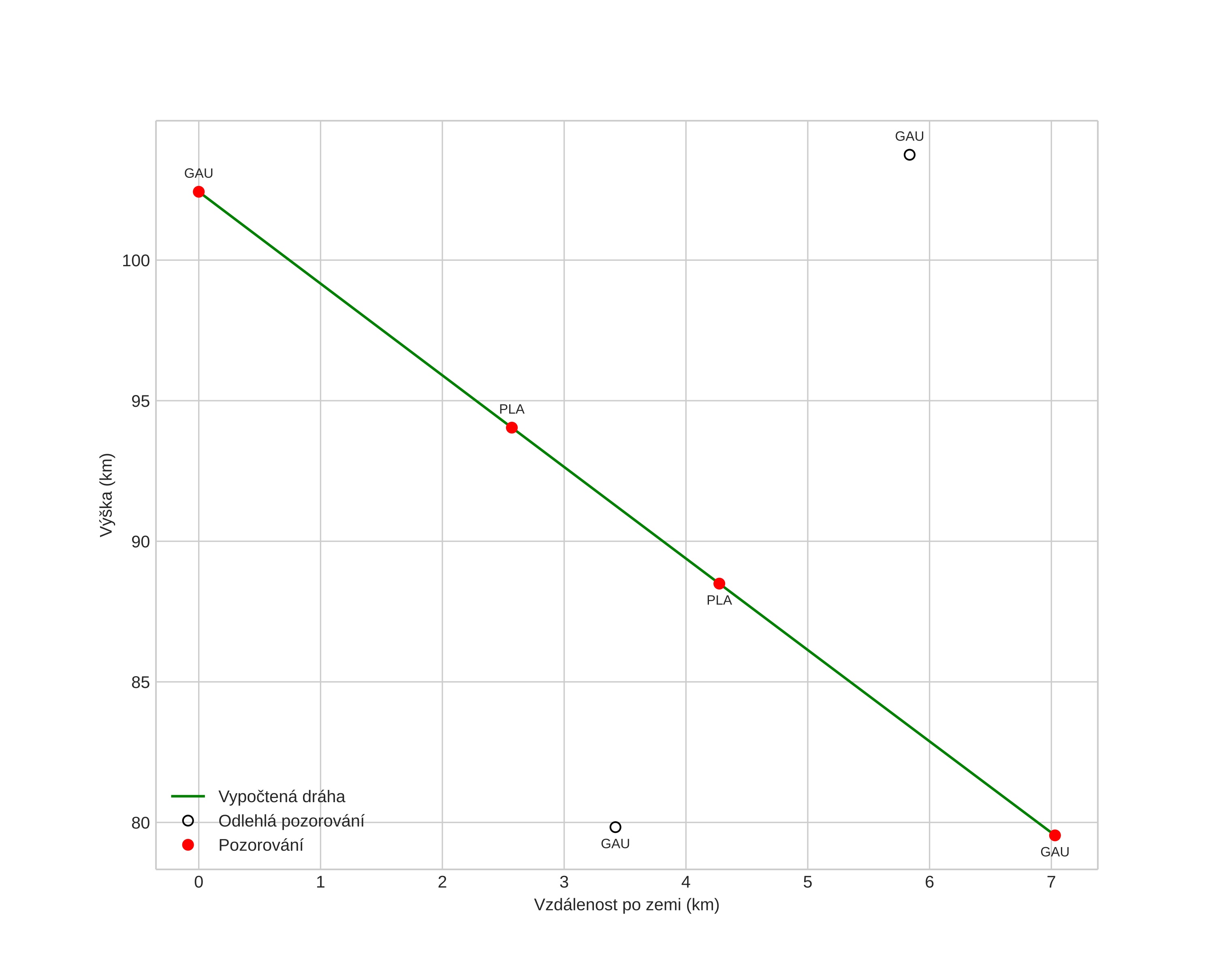
height profile
Atmosférická dráha meteoru:
Počáteční výška: 100,5 km
Konečná výška: 77,5 km
Počáteční poloha: 60,783N 7,145E
Konečná poloha: 60,759N 7,013E
Směr: 249,7°
Sklon: 71,7°
VstupnĂ­ rychlost: 37,5 km/s
Rektascenze radiantu: 03:08 (47,0°)
Deklinace radiantu: 61,7°
MeteorickĂ˝ roj: sporadickĂ˝
Elementy dráhy meteoroidu:
Vzdálenost v periheliu: 0,579 AU
Excentricita: 0,885
Sklon dráhy: 49,7°
Délka vzestupného uzlu: 222,6°
Argument perihelia: 263,5°
Střední anomálie: 356,4°
Epocha: 2024 NOV 04 21:08:33
orbit plot

NeinteraktivnĂ­ graf | InteraktivnĂ­ graf

position vs time
speed and acceleration

Plassen (PLA) cam5

gnomonic
Videa
Obrázky
• Původní
Textové soubory
• Detekce
• Pozorování
• Souřadnice
• Protokol
Jasnost