🇳🇴 🇬🇧 🇩🇪 🇨🇿 🇫🇮

Meteor Ulvikin yllä 2024-11-04 21:08:33 UTC

KML-tiedosto  |  Interaktiivinen kartta

Kartta näyttää meteorin suuntahavainnot. Vaaleammat viivat näyttävät suunnat havaintoasemilta meteorin ilmestyessä, ja tummemmat viivat näyttävät, missä se viimeksi nähtiin. Sininen nuoli näyttää meteorin näkyvän lennon.

static map
height profile
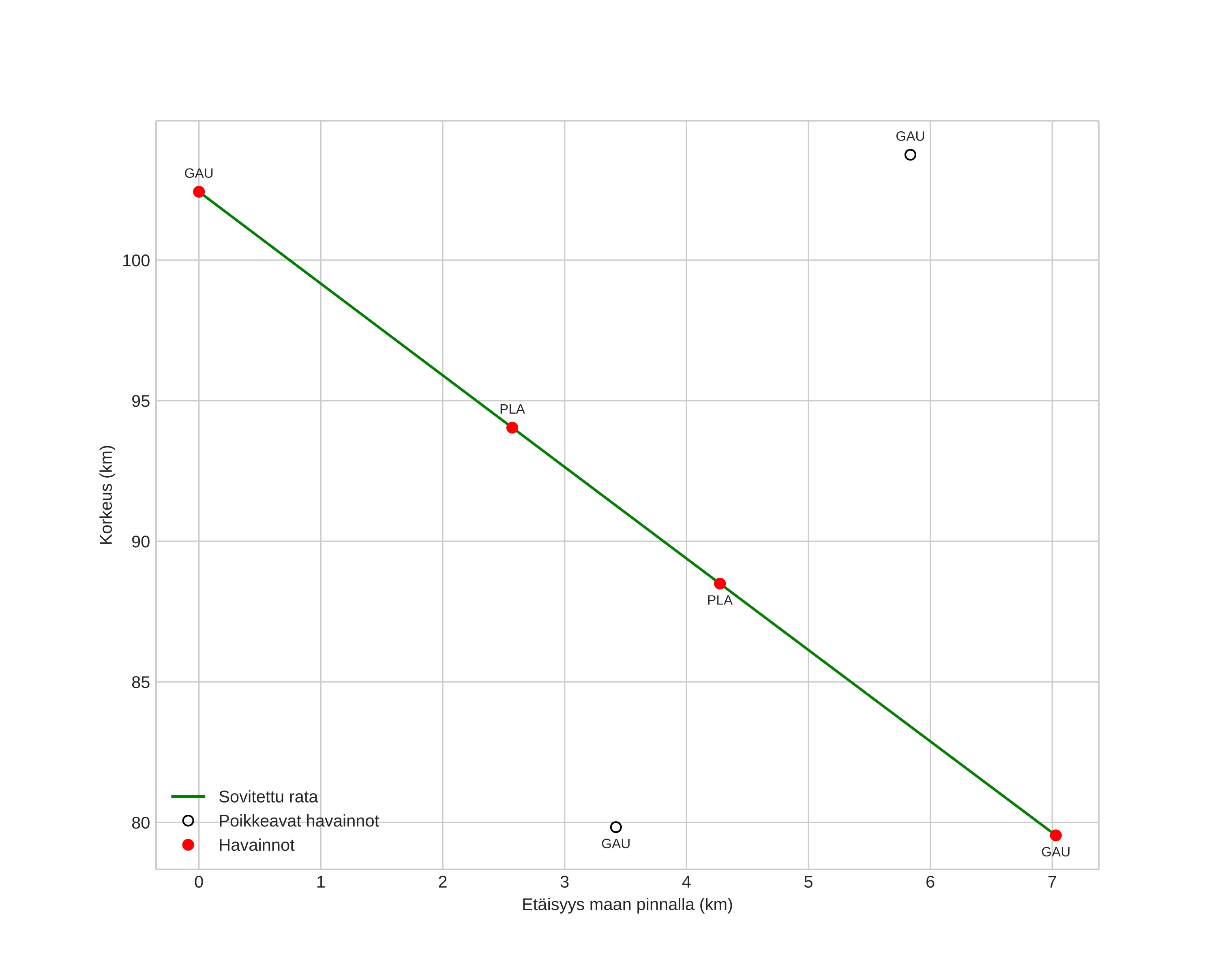
Meteorin ilmakehärata:
Alkukorkeus: 100,5 km
Loppukorkeus: 77,5 km
Alkupiste: 60,783N 7,145E
Loppupiste: 60,759N 7,013E
Suunta: 249,7°
Kallistuskulma: 71,7°
Tulonopeus: 37,5 km/s
Radiantin R,A,: 03:08 (47,0°)
Radiantin Dekl,: 61,7°
Meteoriparvi: Sporadinen
Meteoroidin rataelementit:
Perihelietäisyys: 0,579 AU
Eksentrisyys: 0,885
Inklinaatio: 49,7°
Nousevan solmun pituus: 222,6°
Perihelin argumentti: 263,5°
Keskianomalia: 356,4°
Epookki: 2024 NOV 04 21:08:33
orbit plot

Ei-interaktiivinen kuvaaja | Interaktiivinen kuvaaja

position vs time
speed and acceleration

Plassen (PLA) cam5

gnomonic
Videot:
Kuvat:
• Alkuperäinen
Tekstitiedostot:
• Havaintoraportti
• Observaatio
• Koordinaatit
• Loki
Kirkkaus