🇳🇴 🇬🇧 🇩🇪 🇨🇿 🇫🇮

Meteor, poloha: Årjäng 2024-11-04 21:09:33 UTC

Soubor KML  |  InteraktivnĂ­ mapa

Mapa zobrazuje dráhy meteoru. Světlejší čáry ukazují směry od pozorovacích stanic při objevení se meteoru a tmavší čáry, kde byl naposledy viděn. Modrá šipka značí viditelnou dráhu meteoru.

static map
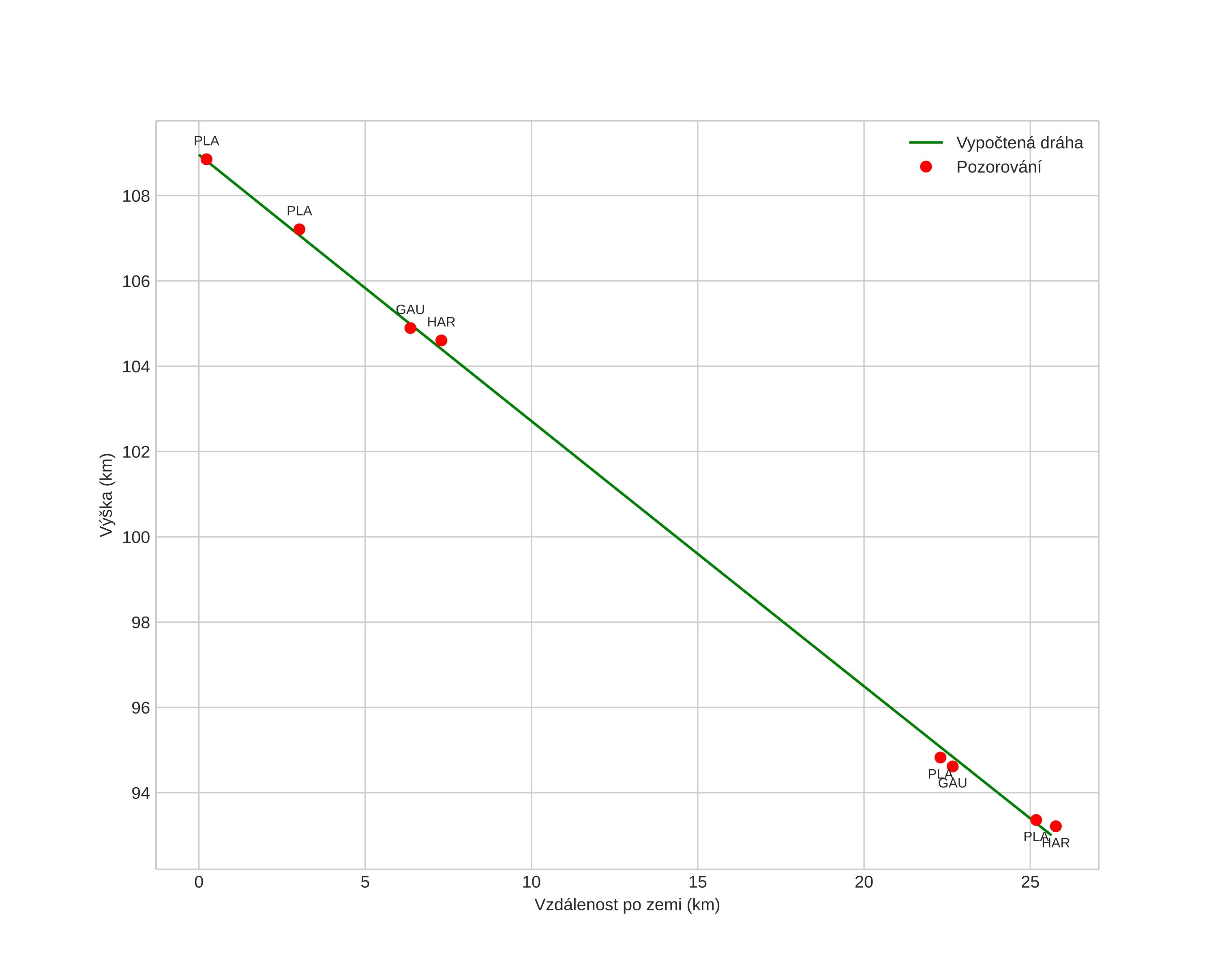
height profile
Atmosférická dráha meteoru:
Počáteční výška: 110,3 km
Konečná výška: 93,0 km
Počáteční poloha: 59,484N 12,450E
Konečná poloha: 59,285N 12,166E
Směr: 216,0°
Sklon: 32,3°
VstupnĂ­ rychlost: 61,9 km/s
Rektascenze radiantu: 09:08 (137,1°)
Deklinace radiantu: 53,6°
MeteorickĂ˝ roj: sporadickĂ˝
Elementy dráhy meteoroidu:
Vzdálenost v periheliu: 0,935 AU
Excentricita: 0,877
Sklon dráhy: 118,0°
Délka vzestupného uzlu: 222,6°
Argument perihelia: 208,5°
Střední anomálie: 359,1°
Epocha: 2024 NOV 04 21:09:33
orbit plot

NeinteraktivnĂ­ graf | InteraktivnĂ­ graf

position vs time
speed and acceleration

Plassen (PLA) cam3

gnomonic
Videa
Obrázky
• Původní
Textové soubory
• Detekce
• Pozorování
• Souřadnice
• Protokol
Jasnost

Plassen (PLA) cam4

gnomonic
Videa
Obrázky
• Původní
Textové soubory
• Detekce
• Pozorování
• Souřadnice
• Protokol
Jasnost