🇳🇴 🇬🇧 🇩🇪 🇨🇿 🇫🇮

Meteor Årjängin yllä 2024-11-04 21:09:33 UTC

KML-tiedosto  |  Interaktiivinen kartta

Kartta näyttää meteorin suuntahavainnot. Vaaleammat viivat näyttävät suunnat havaintoasemilta meteorin ilmestyessä, ja tummemmat viivat näyttävät, missä se viimeksi nähtiin. Sininen nuoli näyttää meteorin näkyvän lennon.

static map
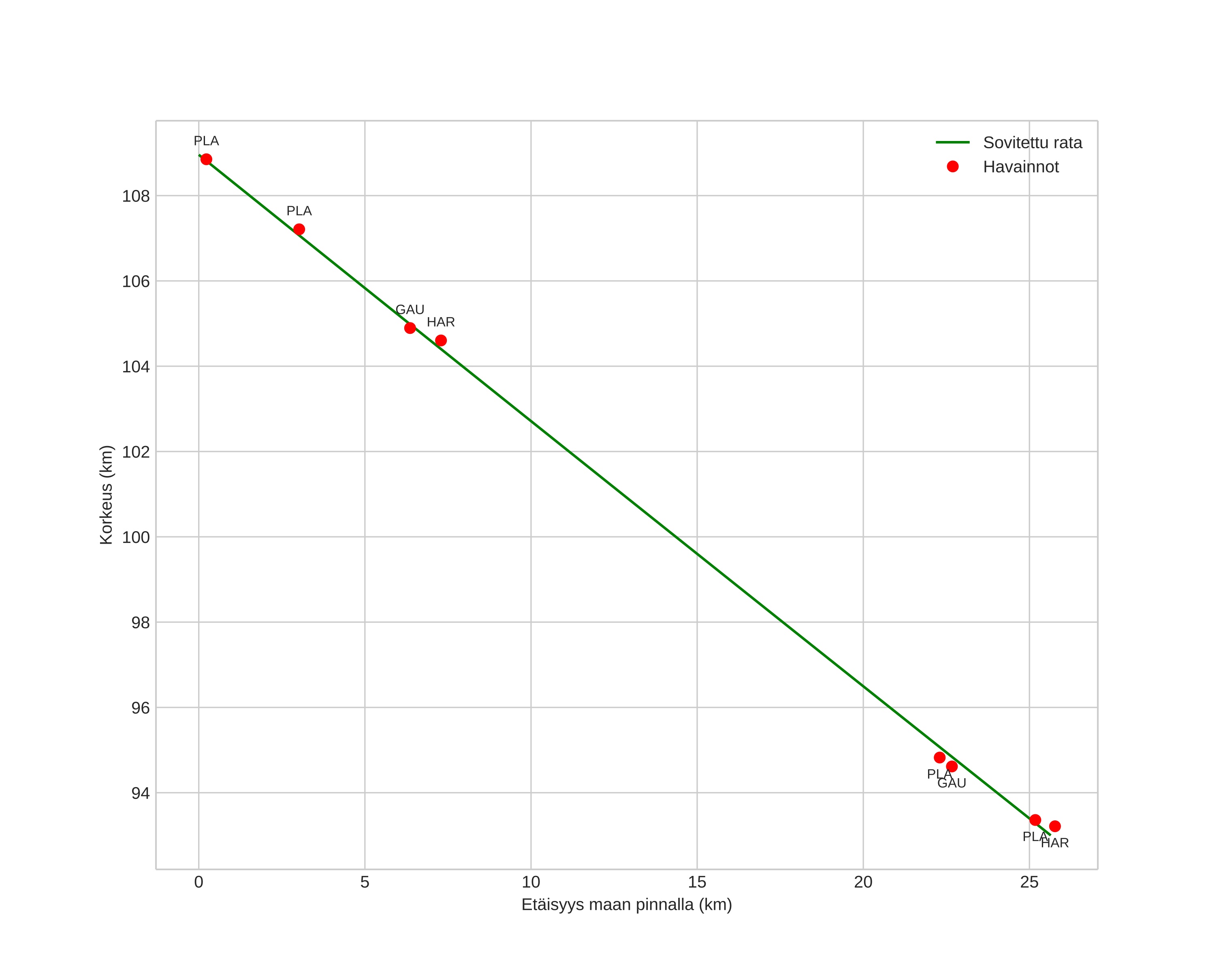
height profile
Meteorin ilmakehärata:
Alkukorkeus: 110,3 km
Loppukorkeus: 93,0 km
Alkupiste: 59,484N 12,450E
Loppupiste: 59,285N 12,166E
Suunta: 216,0°
Kallistuskulma: 32,3°
Tulonopeus: 61,9 km/s
Radiantin R,A,: 09:08 (137,1°)
Radiantin Dekl,: 53,6°
Meteoriparvi: Sporadinen
Meteoroidin rataelementit:
Perihelietäisyys: 0,935 AU
Eksentrisyys: 0,877
Inklinaatio: 118,0°
Nousevan solmun pituus: 222,6°
Perihelin argumentti: 208,5°
Keskianomalia: 359,1°
Epookki: 2024 NOV 04 21:09:33
orbit plot

Ei-interaktiivinen kuvaaja | Interaktiivinen kuvaaja

position vs time
speed and acceleration

Plassen (PLA) cam3

gnomonic
Videot:
Kuvat:
• Alkuperäinen
Tekstitiedostot:
• Havaintoraportti
• Observaatio
• Koordinaatit
• Loki
Kirkkaus

Plassen (PLA) cam4

gnomonic
Videot:
Kuvat:
• Alkuperäinen
Tekstitiedostot:
• Havaintoraportti
• Observaatio
• Koordinaatit
• Loki
Kirkkaus