🇳🇴 🇬🇧 🇩🇪 🇨🇿 🇫🇮

Meteor, poloha: Grebbestad 2024-11-04 21:51:53 UTC

Soubor KML  |  InteraktivnĂ­ mapa

Mapa zobrazuje dráhy meteoru. Světlejší čáry ukazují směry od pozorovacích stanic při objevení se meteoru a tmavší čáry, kde byl naposledy viděn. Modrá šipka značí viditelnou dráhu meteoru.

static map
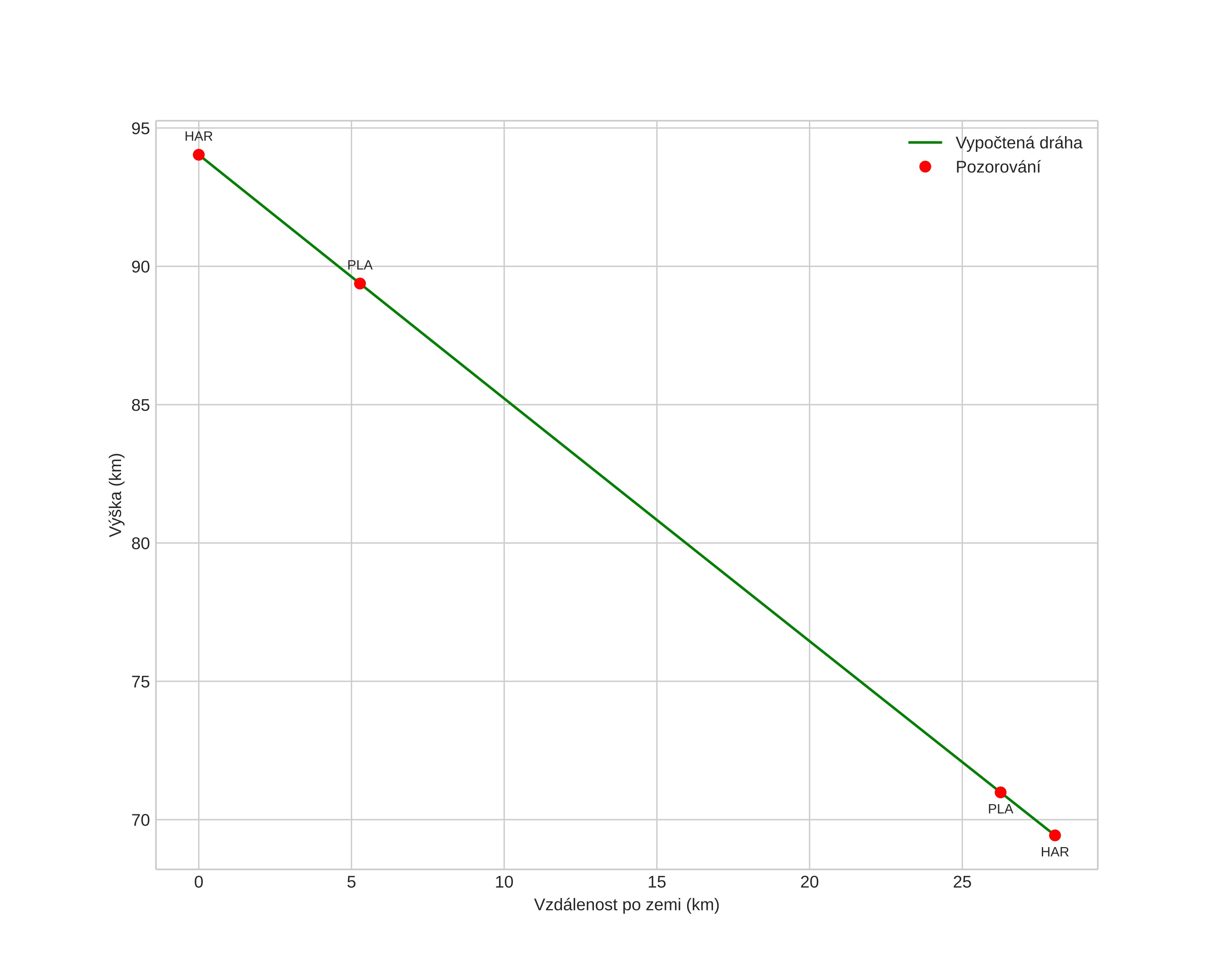
height profile
Atmosférická dráha meteoru:
Počáteční výška: 92,3 km
Konečná výška: 68,6 km
Počáteční poloha: 58,473N 11,489E
Konečná poloha: 58,669N 11,216E
Směr: 324,2°
Sklon: 41,3°
VstupnĂ­ rychlost: 32,3 km/s
Rektascenze radiantu: 03:22 (50,7°)
Deklinace radiantu: 12,5°
MeteorickĂ˝ roj: JiĹľnĂ­ Tauridy
Elementy dráhy meteoroidu:
Vzdálenost v periheliu: 0,381 AU
Excentricita: 0,904
Sklon dráhy: 6,9°
Délka vzestupného uzlu: 42,7°
Argument perihelia: 107,3°
Střední anomálie: 354,9°
Epocha: 2024 NOV 04 21:51:53
orbit plot

NeinteraktivnĂ­ graf | InteraktivnĂ­ graf

position vs time
speed and acceleration

Plassen (PLA) cam4

gnomonic
Videa
Obrázky
• Původní
Textové soubory
• Detekce
• Pozorování
• Souřadnice
• Protokol
Jasnost