🇳🇴 🇬🇧 🇩🇪 🇨🇿 🇫🇮

Meteor über Grebbestad 2024-11-04 21:51:53 UTC

KML-Datei  |  Interaktive Karte

Die Karte zeigt die Peilungen für den Meteor. Die helleren Linien zeigen die Richtungen von den Beobachtungsorten beim Erscheinen des Meteors, und die dunkleren Linien, wo er zuletzt gesehen wurde. Der blaue Pfeil zeigt die sichtbare Bahn des Meteors.

static map
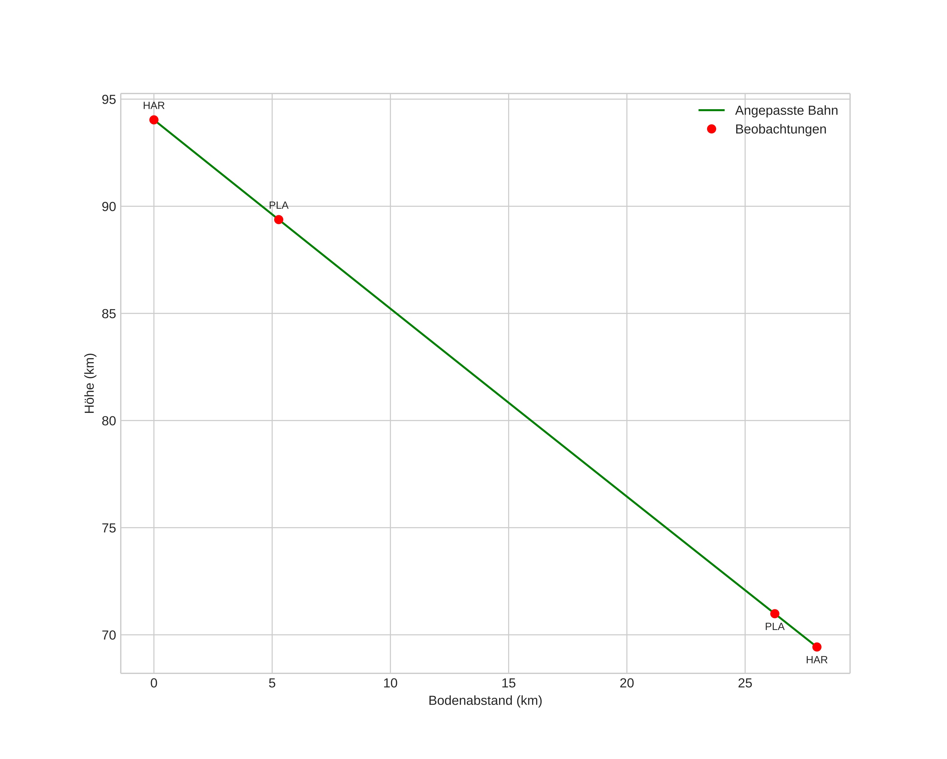
height profile
Atmosphärische Bahn des Meteors:
Anfangshöhe: 92,3 km
Endhöhe: 68,6 km
Startposition: 58,473N 11,489E
Endposition: 58,669N 11,216E
Richtung: 324,2°
Neigungswinkel: 41,3°
Eintrittsgeschwindigkeit: 32,3 km/s
Rektaszension des Radianten: 03:22 (50,7°)
Deklination des Radianten: 12,5°
Meteorstrom: Südliche Tauriden
Bahnelemente des Meteoroiden:
Periheldistanz: 0,381 AU
Exzentrizität: 0,904
Inklination: 6,9°
Länge des aufsteigenden Knotens: 42,7°
Argument des Perihels: 107,3°
Mittlere Anomalie: 354,9°
Epoche: 2024 NOV 04 21:51:53
orbit plot

Nicht-interaktives Diagramm | Interaktives Diagramm

position vs time
speed and acceleration

Plassen (PLA) cam4

gnomonic
Videos
Bilder
• Original
Textdateien
• Erkennung
• Beobachtung
• Koordinaten
• Protokoll
Helligkeit