🇳🇴 🇬🇧 🇩🇪 🇨🇿 🇫🇮

Meteor, poloha: Tjøme 2024-11-05 00:44:26 UTC

Soubor KML  |  InteraktivnĂ­ mapa

Mapa zobrazuje dráhy meteoru. Světlejší čáry ukazují směry od pozorovacích stanic při objevení se meteoru a tmavší čáry, kde byl naposledy viděn. Modrá šipka značí viditelnou dráhu meteoru.

static map
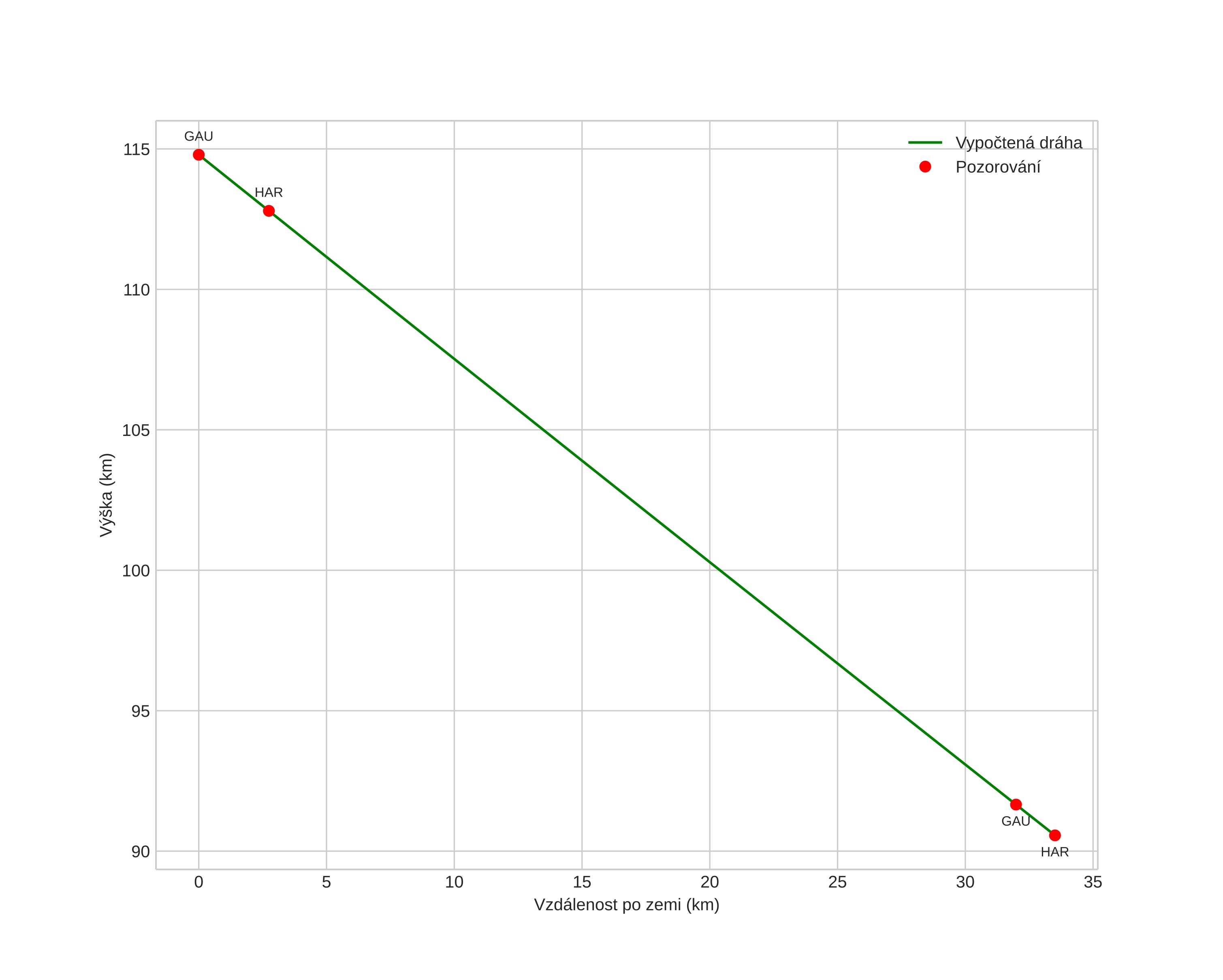
height profile
Atmosférická dráha meteoru:
Počáteční výška: 115,7 km
Konečná výška: 90,9 km
Počáteční poloha: 59,177N 10,901E
Konečná poloha: 59,059N 10,350E
Směr: 247,6°
Sklon: 36,0°
VstupnĂ­ rychlost: 63,9 km/s
Rektascenze radiantu: 10:14 (153,7°)
Deklinace radiantu: 41,4°
MeteorickĂ˝ roj: sporadickĂ˝
Elementy dráhy meteoroidu:
Vzdálenost v periheliu: 0,961 AU
Excentricita: 0,733
Sklon dráhy: 129,7°
Délka vzestupného uzlu: 222,8°
Argument perihelia: 157,9°
Střední anomálie: 2,4°
Epocha: 2024 NOV 05 00:44:26
orbit plot

NeinteraktivnĂ­ graf | InteraktivnĂ­ graf

position vs time
speed and acceleration