🇳🇴 🇬🇧 🇩🇪 🇨🇿 🇫🇮

Meteor Tjømen yllä 2024-11-05 00:44:26 UTC

KML-tiedosto  |  Interaktiivinen kartta

Kartta näyttää meteorin suuntahavainnot. Vaaleammat viivat näyttävät suunnat havaintoasemilta meteorin ilmestyessä, ja tummemmat viivat näyttävät, missä se viimeksi nähtiin. Sininen nuoli näyttää meteorin näkyvän lennon.

static map
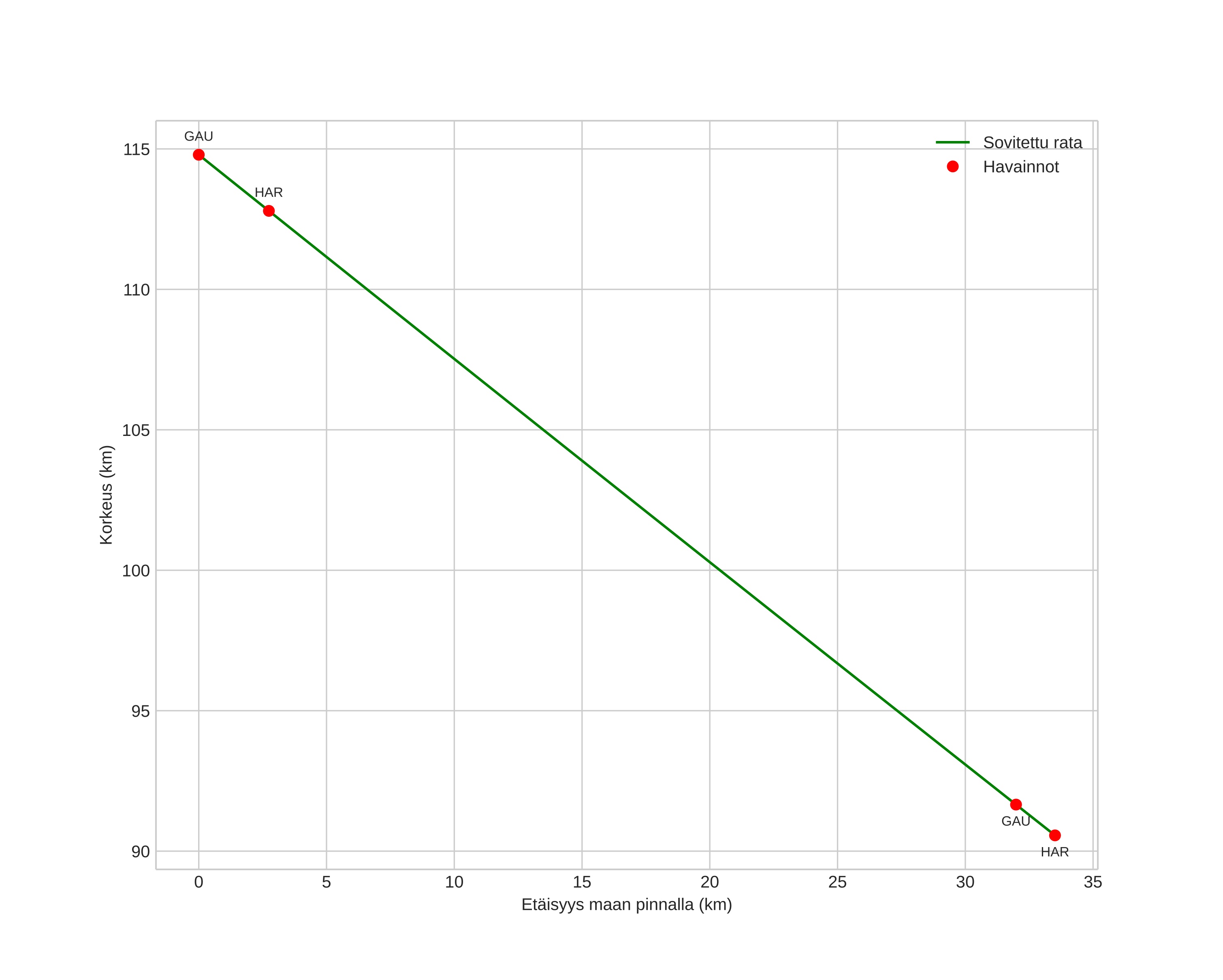
height profile
Meteorin ilmakehärata:
Alkukorkeus: 115,7 km
Loppukorkeus: 90,9 km
Alkupiste: 59,177N 10,901E
Loppupiste: 59,059N 10,350E
Suunta: 247,6°
Kallistuskulma: 36,0°
Tulonopeus: 63,9 km/s
Radiantin R,A,: 10:14 (153,7°)
Radiantin Dekl,: 41,4°
Meteoriparvi: Sporadinen
Meteoroidin rataelementit:
Perihelietäisyys: 0,961 AU
Eksentrisyys: 0,733
Inklinaatio: 129,7°
Nousevan solmun pituus: 222,8°
Perihelin argumentti: 157,9°
Keskianomalia: 2,4°
Epookki: 2024 NOV 05 00:44:26
orbit plot

Ei-interaktiivinen kuvaaja | Interaktiivinen kuvaaja

position vs time
speed and acceleration