🇳🇴 🇬🇧 🇩🇪 🇨🇿 🇫🇮

Meteor, poloha: Kil 2024-11-05 01:03:10 UTC

Soubor KML  |  InteraktivnĂ­ mapa

Mapa zobrazuje dráhy meteoru. Světlejší čáry ukazují směry od pozorovacích stanic při objevení se meteoru a tmavší čáry, kde byl naposledy viděn. Modrá šipka značí viditelnou dráhu meteoru.

static map
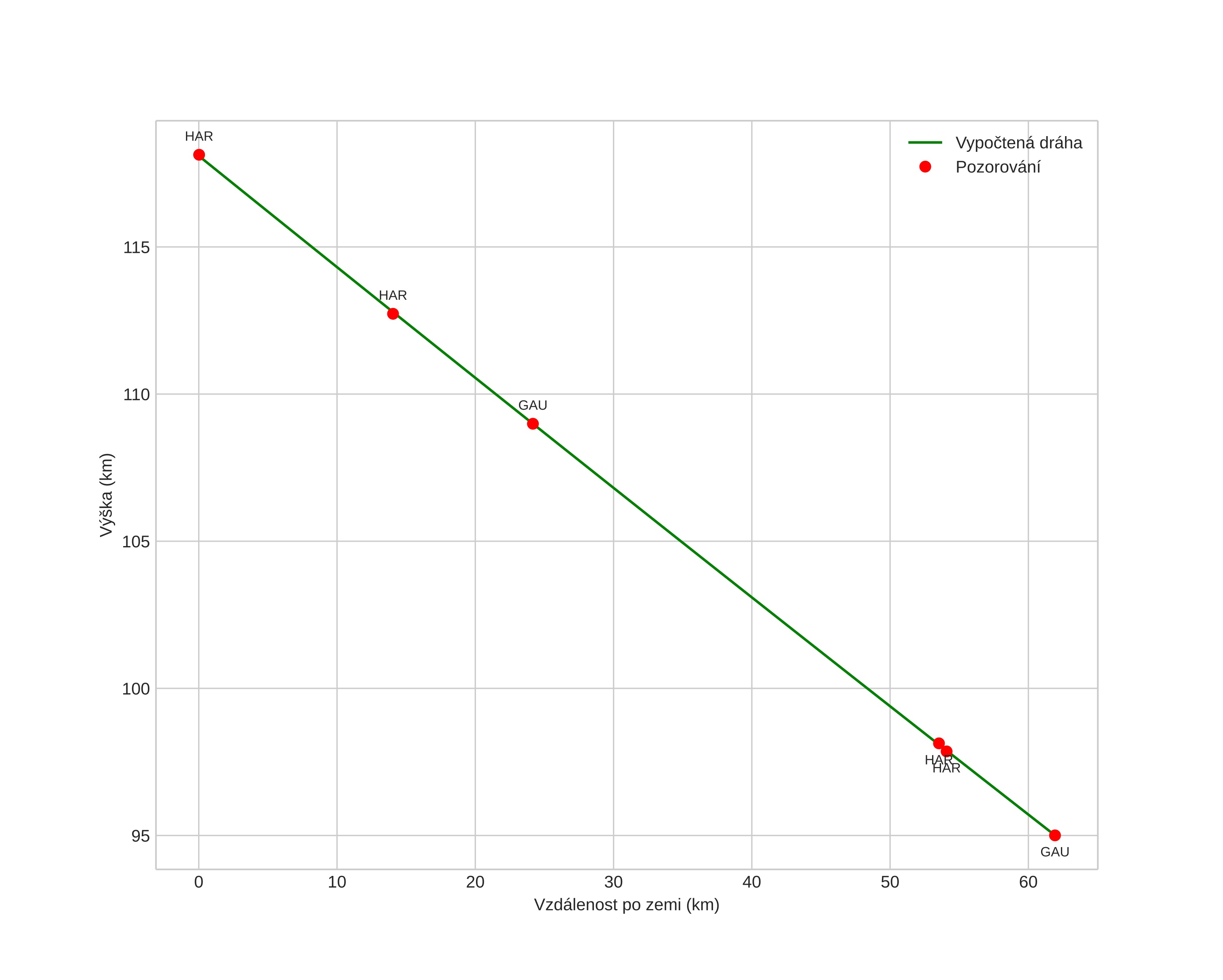
height profile
Atmosférická dráha meteoru:
Počáteční výška: 118,0 km
Konečná výška: 95,0 km
Počáteční poloha: 59,034N 13,633E
Konečná poloha: 59,543N 13,187E
Směr: 336,1°
Sklon: 20,4°
VstupnĂ­ rychlost: 68,0 km/s
Rektascenze radiantu: 06:25 (96,3°)
Deklinace radiantu: -8,7°
MeteorickĂ˝ roj: sporadickĂ˝
Elementy dráhy meteoroidu:
Vzdálenost v periheliu: 0,645 AU
Excentricita: 1,616
Sklon dráhy: 114,5°
Délka vzestupného uzlu: 42,8°
Argument perihelia: 64,2°
Střední anomálie: -26,1°
Epocha: 2024 NOV 05 01:03:10
orbit plot

NeinteraktivnĂ­ graf | InteraktivnĂ­ graf

position vs time
speed and acceleration