🇳🇴 🇬🇧 🇩🇪 🇨🇿 🇫🇮

Meteor Kilin yllä 2024-11-05 01:03:10 UTC

KML-tiedosto  |  Interaktiivinen kartta

Kartta näyttää meteorin suuntahavainnot. Vaaleammat viivat näyttävät suunnat havaintoasemilta meteorin ilmestyessä, ja tummemmat viivat näyttävät, missä se viimeksi nähtiin. Sininen nuoli näyttää meteorin näkyvän lennon.

static map
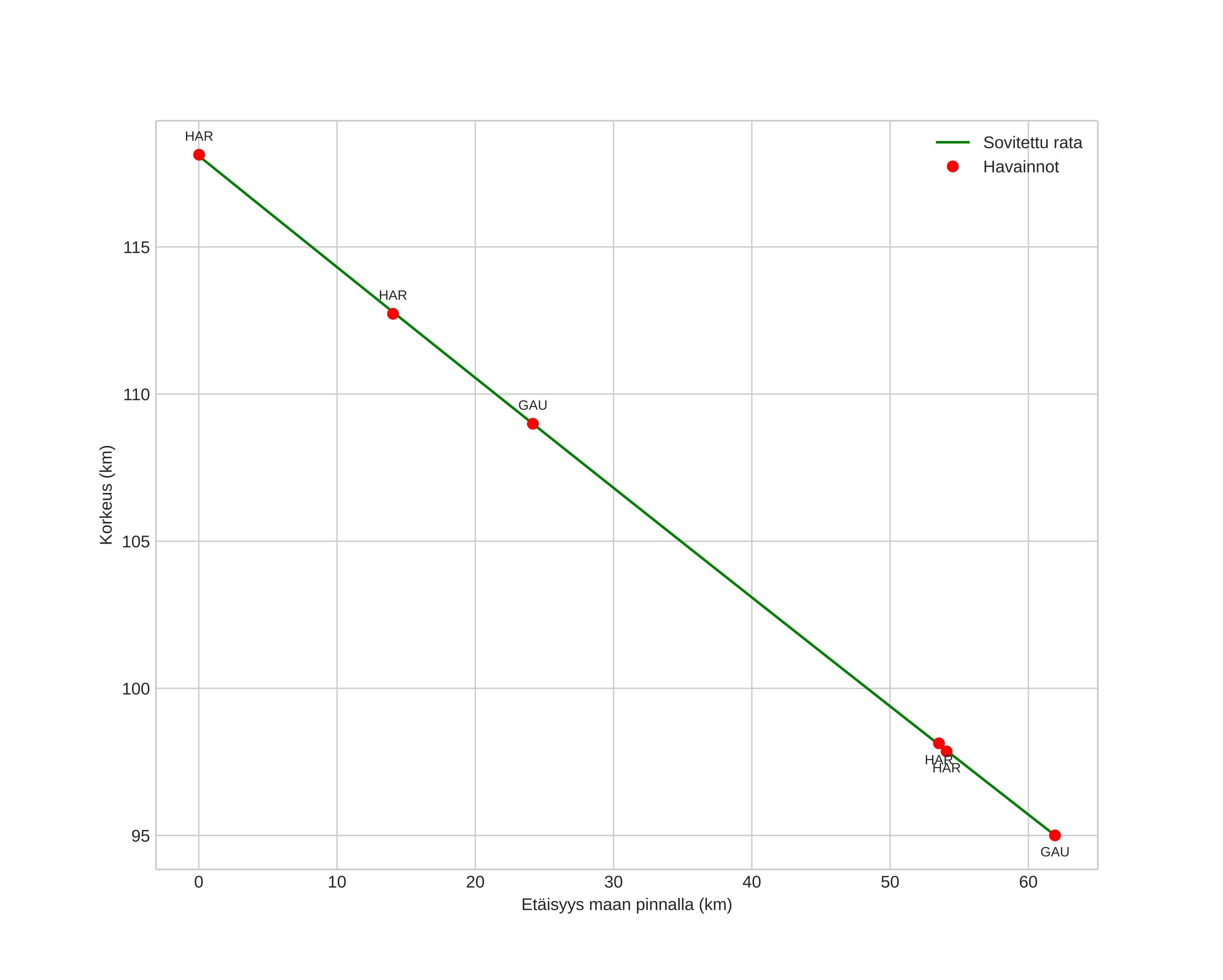
height profile
Meteorin ilmakehärata:
Alkukorkeus: 118,0 km
Loppukorkeus: 95,0 km
Alkupiste: 59,034N 13,633E
Loppupiste: 59,543N 13,187E
Suunta: 336,1°
Kallistuskulma: 20,4°
Tulonopeus: 68,0 km/s
Radiantin R,A,: 06:25 (96,3°)
Radiantin Dekl,: -8,7°
Meteoriparvi: Sporadinen
Meteoroidin rataelementit:
Perihelietäisyys: 0,645 AU
Eksentrisyys: 1,616
Inklinaatio: 114,5°
Nousevan solmun pituus: 42,8°
Perihelin argumentti: 64,2°
Keskianomalia: -26,1°
Epookki: 2024 NOV 05 01:03:10
orbit plot

Ei-interaktiivinen kuvaaja | Interaktiivinen kuvaaja

position vs time
speed and acceleration