🇳🇴 🇬🇧 🇩🇪 🇨🇿 🇫🇮

Meteor, poloha: Noresund 2024-11-05 17:08:12 UTC

Soubor KML

Mapa zobrazuje dráhy meteoru. Světlejší čáry ukazují směry od pozorovacích stanic při objevení se meteoru a tmavší čáry, kde byl naposledy viděn. Modrá šipka značí viditelnou dráhu meteoru.

static map
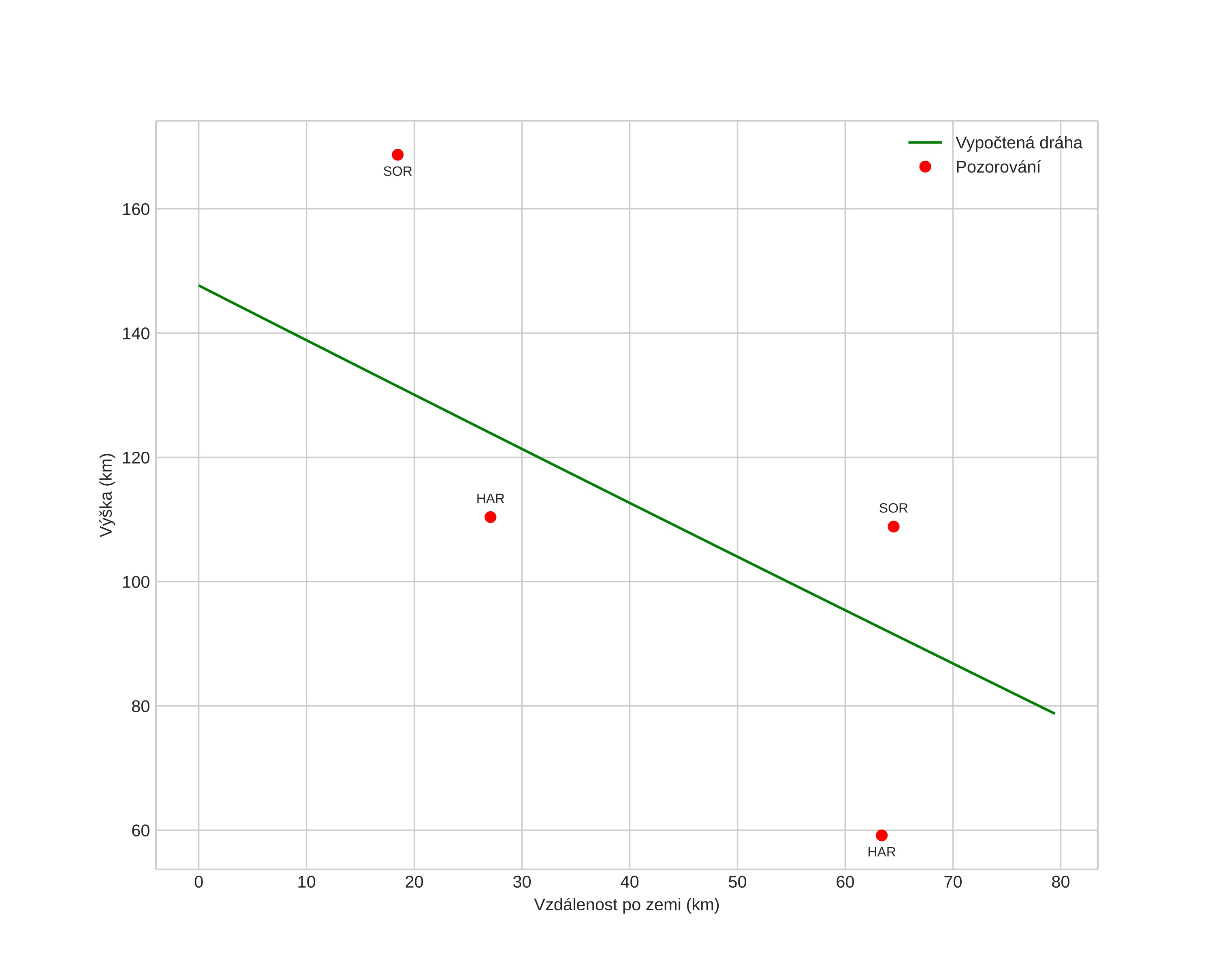
height profile
Atmosférická dráha meteoru:
Počáteční výška: 147,7 km
Konečná výška: 78,7 km
Počáteční poloha: 60,582N 8,379E
Konečná poloha: 60,300N 9,710E
Směr: 112,7°
Sklon: 41,0°
Vstupní rychlost: 56,4 km/s
Rektascenze radiantu: 15:03 (225,8°)
Deklinace radiantu: 45,1°
Meteorický roj: sporadický
Elementy dráhy meteoroidu:
Vzdálenost v periheliu: 0,839 AU
Excentricita: 2,397
Sklon dráhy: 68,4°
Délka vzestupného uzlu: 223,4°
Argument perihelia: 141,4°
Střední anomálie: 38,7°
Epocha: 2024 NOV 05 17:08:12
orbit plot

Neinteraktivní graf

position vs time
speed and acceleration

Sorreisa (SOR) cam2

gnomonic
Videa
Původní
Obrázky
Původní
Textové soubory
Detekce
Pozorování
Souřadnice
Jasnost