🇳🇴 🇬🇧 🇩🇪 🇨🇿 🇫🇮

Meteor Noresundin yllä 2024-11-05 17:08:12 UTC

KML-tiedosto  |  Interaktiivinen kartta

Kartta näyttää meteorin suuntahavainnot. Vaaleammat viivat näyttävät suunnat havaintoasemilta meteorin ilmestyessä, ja tummemmat viivat näyttävät, missä se viimeksi nähtiin. Sininen nuoli näyttää meteorin näkyvän lennon.

static map
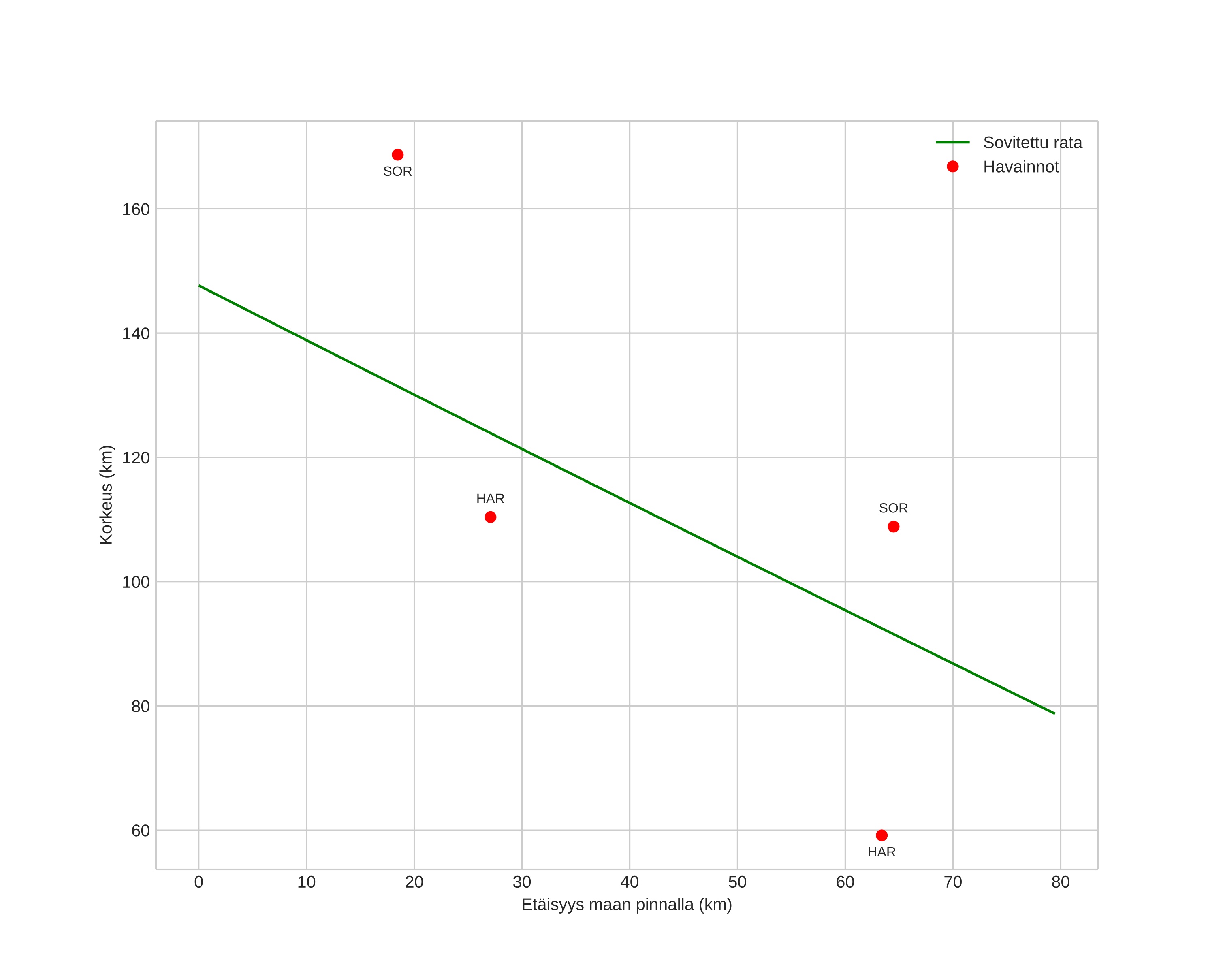
height profile
Meteorin ilmakehärata:
Alkukorkeus: 147,3 km
Loppukorkeus: 83,5 km
Alkupiste: 60,584N 8,379E
Loppupiste: 60,318N 9,619E
Suunta: 113,0°
Kallistuskulma: 40,7°
Tulonopeus: 39,2 km/s
Radiantin R,A,: 14:59 (224,8°)
Radiantin Dekl,: 44,5°
Meteoriparvi: Sporadinen
Meteoroidin rataelementit:
Perihelietäisyys: 0,814 AU
Eksentrisyys: 1,033
Inklinaatio: 55,5°
Nousevan solmun pituus: 223,4°
Perihelin argumentti: 130,4°
Keskianomalia: 0,2°
Epookki: 2024 NOV 05 17:08:12
orbit plot

Ei-interaktiivinen kuvaaja | Interaktiivinen kuvaaja

position vs time
speed and acceleration

Sorreisa (SOR) cam2

gnomonic
Videot:
• Alkuperäinen
Kuvat:
• Alkuperäinen
Tekstitiedostot:
• Havaintoraportti
• Observaatio
• Koordinaatit
• Loki
Kirkkaus