🇳🇴 🇬🇧 🇩🇪 🇨🇿 🇫🇮

Meteor, poloha: Pyhäranta 2024-11-05 17:23:46 UTC

Soubor KML  |  Interaktivní mapa

Mapa zobrazuje dráhy meteoru. Světlejší čáry ukazují směry od pozorovacích stanic při objevení se meteoru a tmavší čáry, kde byl naposledy viděn. Modrá šipka značí viditelnou dráhu meteoru.

static map
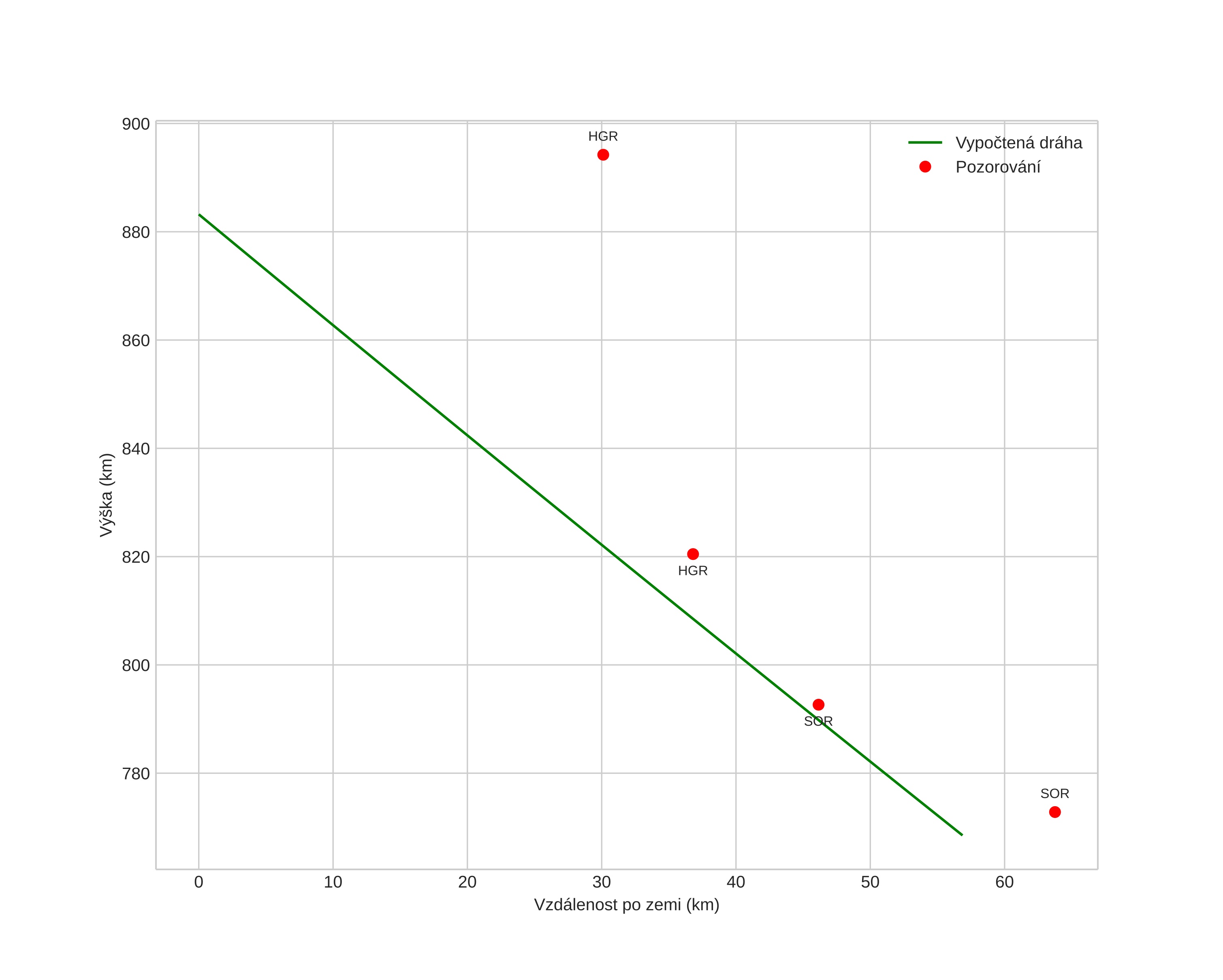
height profile
Atmosférická dráha meteoru:
Počáteční výška: 883,9 km
Konečná výška: 768,4 km
Počáteční poloha: 60,543N 20,692E
Konečná poloha: 61,013N 21,125E
Směr: 24,1°
Sklon: 63,6°
orbit plot
position vs time
speed and acceleration

Sorreisa (SOR) cam2

gnomonic
Videa
Původní
Obrázky
Původní
Textové soubory
Detekce
Pozorování
Souřadnice
Protokol
Jasnost