🇳🇴 🇬🇧 🇩🇪 🇨🇿 🇫🇮

Meteor Pyhärantan yllä 2024-11-05 17:23:46 UTC

KML-tiedosto  |  Interaktiivinen kartta

Kartta näyttää meteorin suuntahavainnot. Vaaleammat viivat näyttävät suunnat havaintoasemilta meteorin ilmestyessä, ja tummemmat viivat näyttävät, missä se viimeksi nähtiin. Sininen nuoli näyttää meteorin näkyvän lennon.

static map
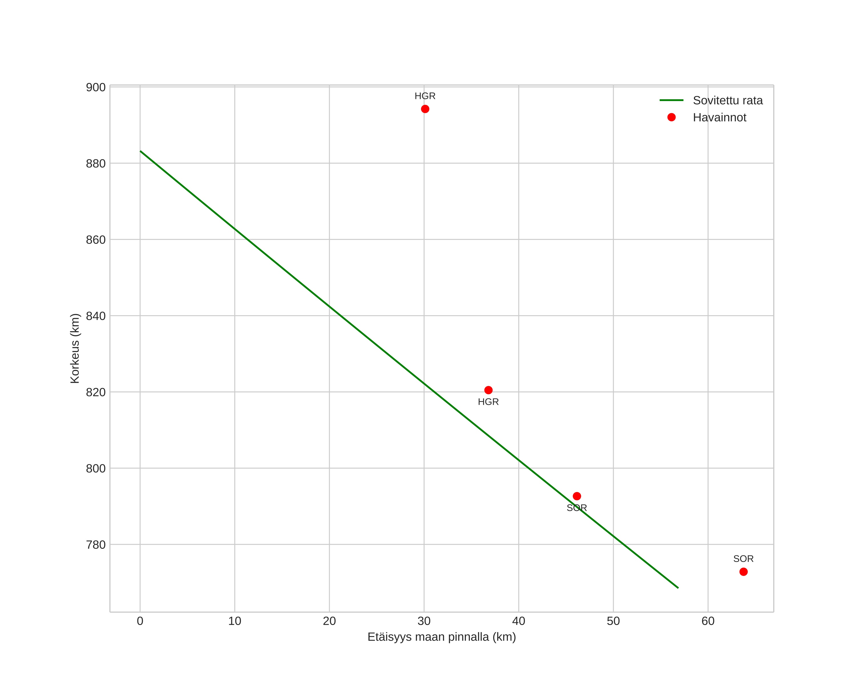
height profile
Meteorin ilmakehärata:
Alkukorkeus: 883,9 km
Loppukorkeus: 768,4 km
Alkupiste: 60,543N 20,692E
Loppupiste: 61,013N 21,125E
Suunta: 24,1°
Kallistuskulma: 63,6°
orbit plot
position vs time
speed and acceleration

Sorreisa (SOR) cam2

gnomonic
Videot:
• Alkuperäinen
Kuvat:
• Alkuperäinen
Tekstitiedostot:
• Havaintoraportti
• Observaatio
• Koordinaatit
• Loki
Kirkkaus