🇳🇴 🇬🇧 🇩🇪 🇨🇿 🇫🇮

Meteor, poloha: Dale 2024-11-05 19:41:48 UTC

Soubor KML  |  InteraktivnĂ­ mapa

Mapa zobrazuje dráhy meteoru. Světlejší čáry ukazují směry od pozorovacích stanic při objevení se meteoru a tmavší čáry, kde byl naposledy viděn. Modrá šipka značí viditelnou dráhu meteoru.

static map
height profile
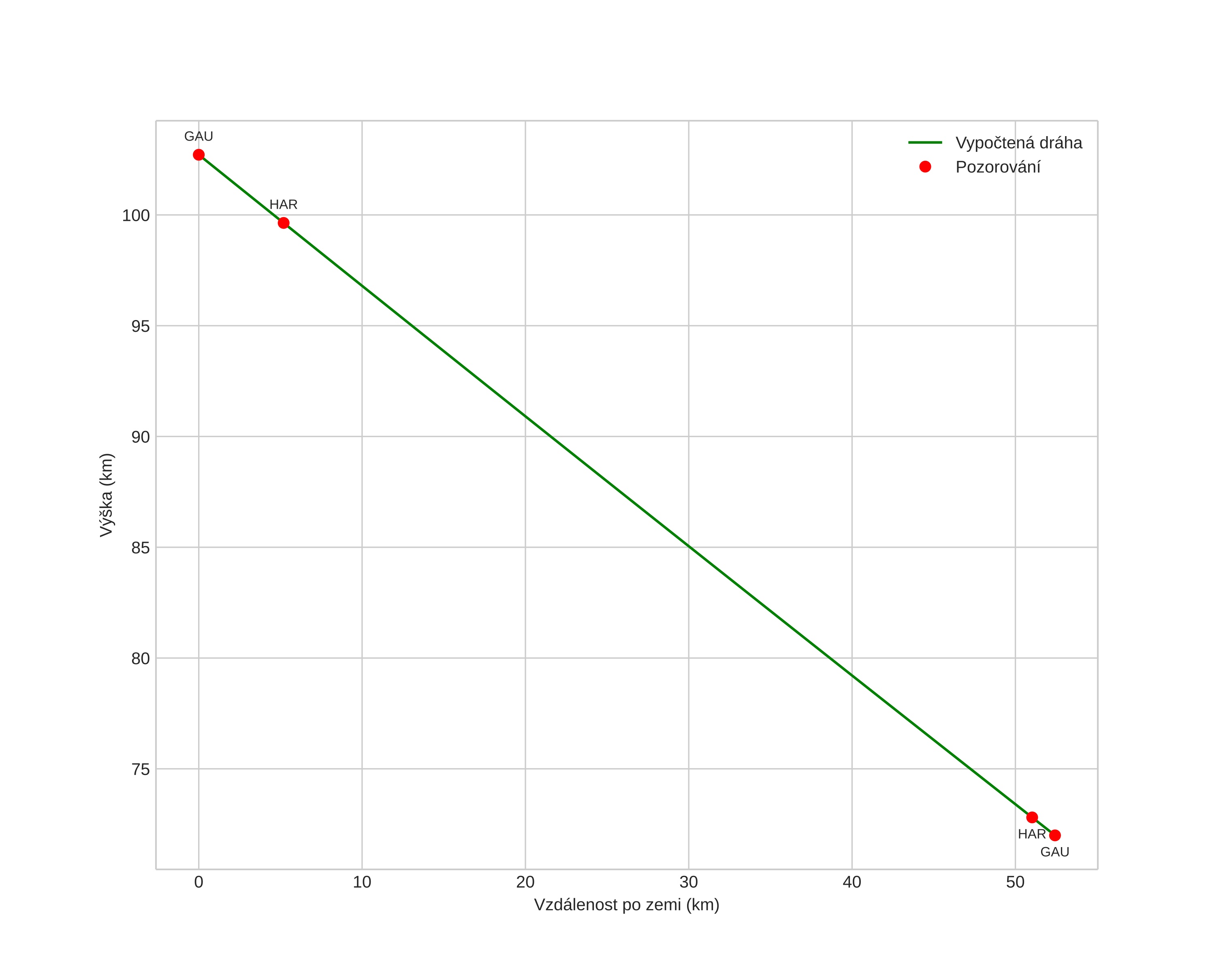
Atmosférická dráha meteoru:
Počáteční výška: 103,2 km
Konečná výška: 71,8 km
Počáteční poloha: 61,191N 6,410E
Konečná poloha: 61,257N 5,466E
Směr: 278,6°
Sklon: 31,6°
VstupnĂ­ rychlost: 33,2 km/s
Rektascenze radiantu: 03:37 (54,4°)
Deklinace radiantu: 21,8°
MeteorickĂ˝ roj: SevernĂ­ Tauridy
Elementy dráhy meteoroidu:
Vzdálenost v periheliu: 0,304 AU
Excentricita: 0,885
Sklon dráhy: 3,2°
Délka vzestupného uzlu: 223,5°
Argument perihelia: 298,5°
Střední anomálie: 350,8°
Epocha: 2024 NOV 05 19:41:48
orbit plot

NeinteraktivnĂ­ graf | InteraktivnĂ­ graf

position vs time
speed and acceleration