🇳🇴 🇬🇧 🇩🇪 🇨🇿 🇫🇮

Meteor Dalen yllä 2024-11-05 19:41:48 UTC

KML-tiedosto  |  Interaktiivinen kartta

Kartta näyttää meteorin suuntahavainnot. Vaaleammat viivat näyttävät suunnat havaintoasemilta meteorin ilmestyessä, ja tummemmat viivat näyttävät, missä se viimeksi nähtiin. Sininen nuoli näyttää meteorin näkyvän lennon.

static map
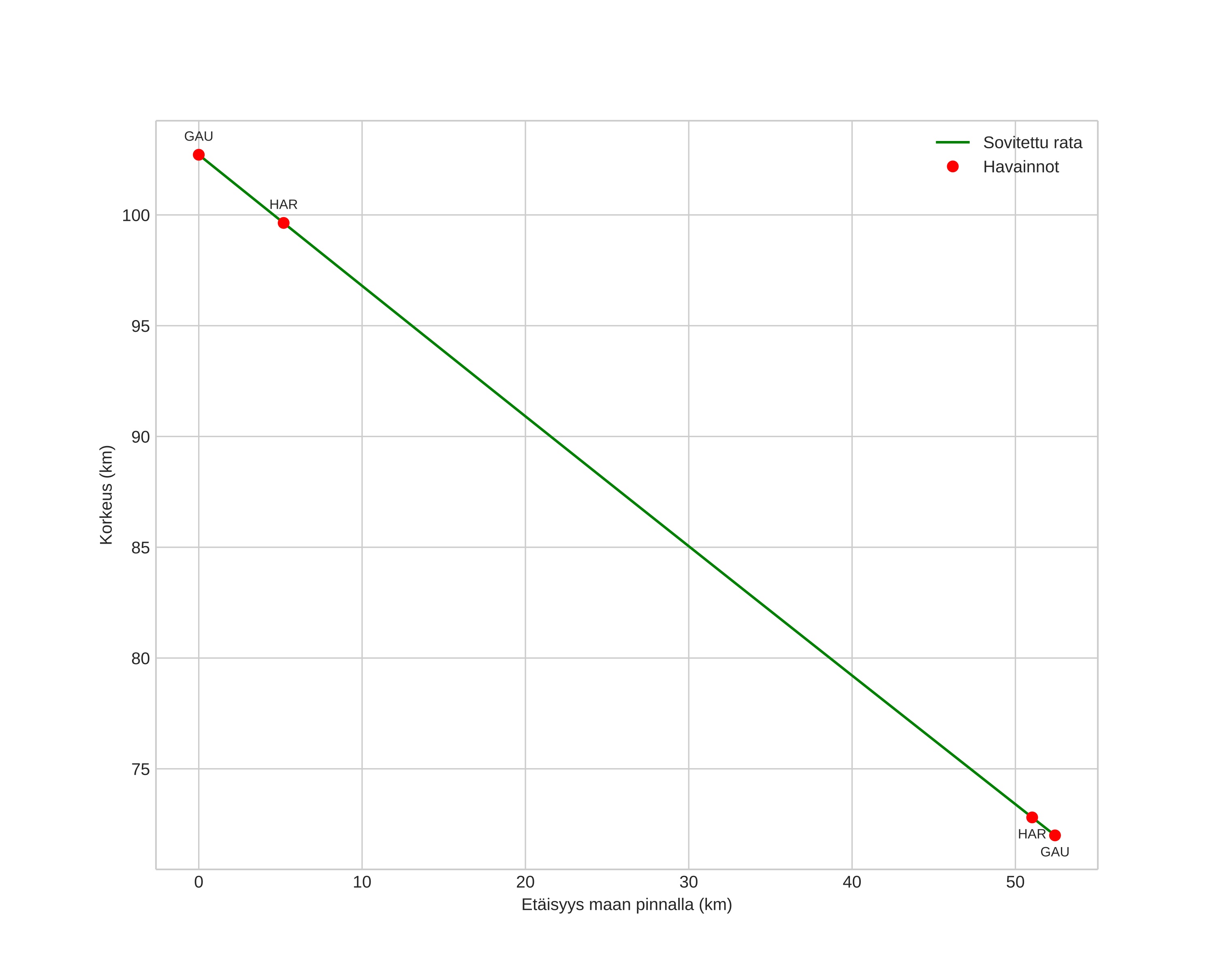
height profile
Meteorin ilmakehärata:
Alkukorkeus: 103,2 km
Loppukorkeus: 71,8 km
Alkupiste: 61,191N 6,410E
Loppupiste: 61,257N 5,466E
Suunta: 278,6°
Kallistuskulma: 31,6°
Tulonopeus: 33,2 km/s
Radiantin R,A,: 03:37 (54,4°)
Radiantin Dekl,: 21,8°
Meteoriparvi: Pohjoiset tauridit
Meteoroidin rataelementit:
Perihelietäisyys: 0,304 AU
Eksentrisyys: 0,885
Inklinaatio: 3,2°
Nousevan solmun pituus: 223,5°
Perihelin argumentti: 298,5°
Keskianomalia: 350,8°
Epookki: 2024 NOV 05 19:41:48
orbit plot

Ei-interaktiivinen kuvaaja | Interaktiivinen kuvaaja

position vs time
speed and acceleration