🇳🇴 🇬🇧 🇩🇪 🇨🇿 🇫🇮

Meteor, poloha: Geilo 2024-11-05 19:47:29 UTC

Soubor KML  |  InteraktivnĂ­ mapa

Mapa zobrazuje dráhy meteoru. Světlejší čáry ukazují směry od pozorovacích stanic při objevení se meteoru a tmavší čáry, kde byl naposledy viděn. Modrá šipka značí viditelnou dráhu meteoru.

static map
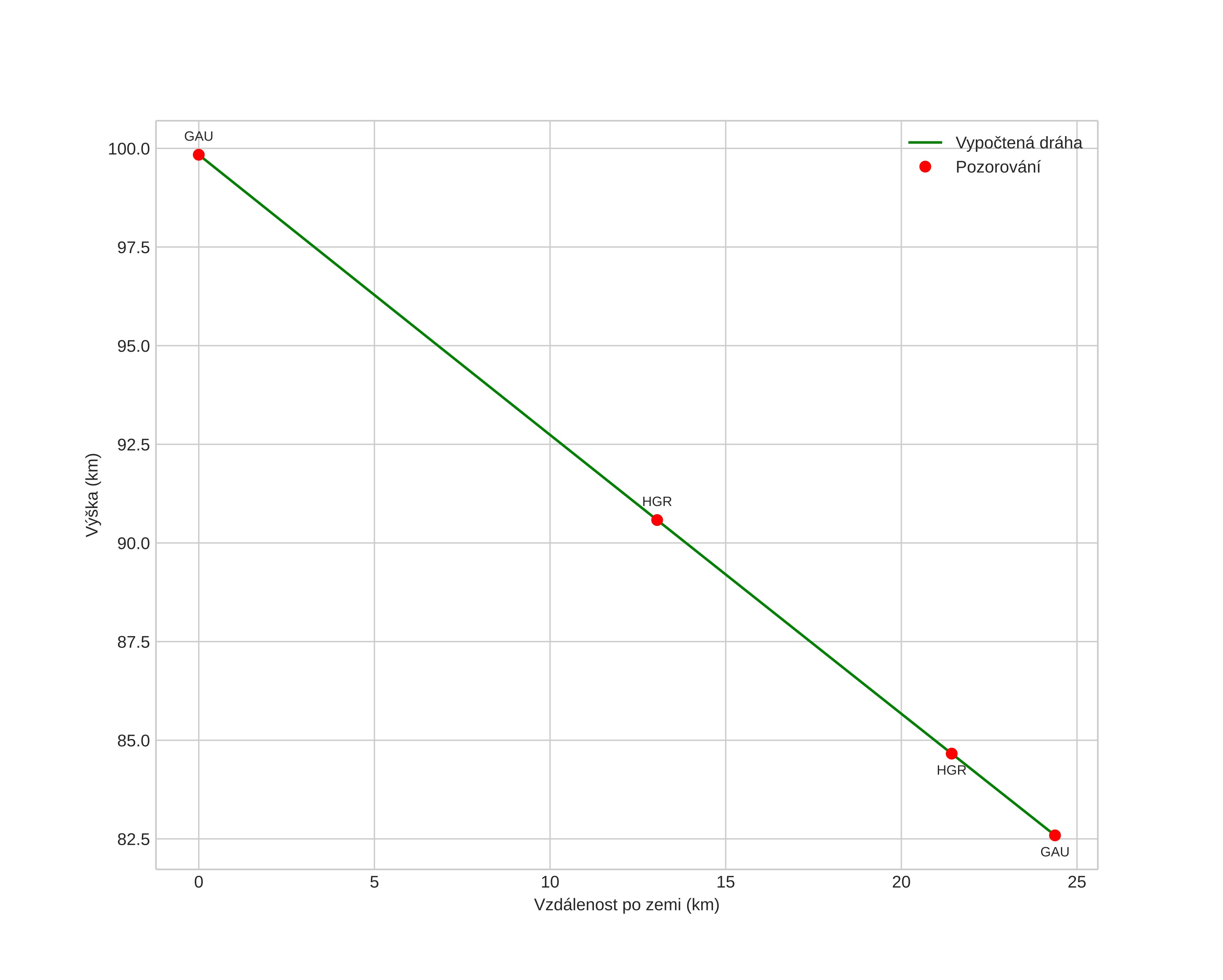
height profile
Atmosférická dráha meteoru:
Počáteční výška: 100,1 km
Konečná výška: 82,8 km
Počáteční poloha: 60,401N 8,787E
Konečná poloha: 60,445N 8,356E
Směr: 281,9°
Sklon: 35,6°
VstupnĂ­ rychlost: 31,8 km/s
Rektascenze radiantu: 03:32 (53,0°)
Deklinace radiantu: 23,4°
MeteorickĂ˝ roj: SevernĂ­ Tauridy
Elementy dráhy meteoroidu:
Vzdálenost v periheliu: 0,332 AU
Excentricita: 0,858
Sklon dráhy: 5,3°
Délka vzestupného uzlu: 223,5°
Argument perihelia: 296,2°
Střední anomálie: 348,6°
Epocha: 2024 NOV 05 19:47:29
orbit plot

NeinteraktivnĂ­ graf | InteraktivnĂ­ graf

position vs time
speed and acceleration