🇳🇴 🇬🇧 🇩🇪 🇨🇿 🇫🇮

Meteor Geilon yllä 2024-11-05 19:47:29 UTC

KML-tiedosto  |  Interaktiivinen kartta

Kartta näyttää meteorin suuntahavainnot. Vaaleammat viivat näyttävät suunnat havaintoasemilta meteorin ilmestyessä, ja tummemmat viivat näyttävät, missä se viimeksi nähtiin. Sininen nuoli näyttää meteorin näkyvän lennon.

static map
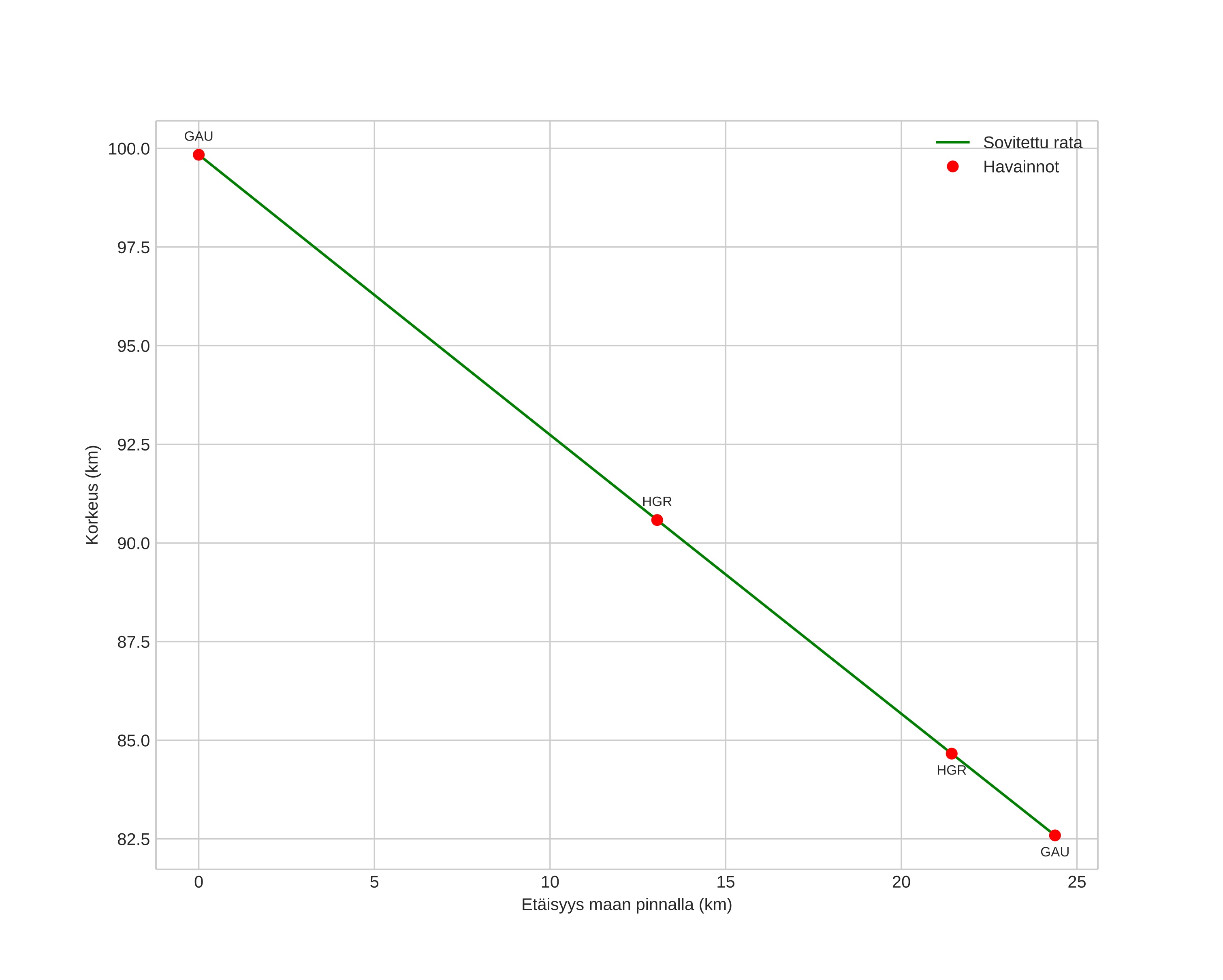
height profile
Meteorin ilmakehärata:
Alkukorkeus: 100,1 km
Loppukorkeus: 82,8 km
Alkupiste: 60,401N 8,787E
Loppupiste: 60,445N 8,356E
Suunta: 281,9°
Kallistuskulma: 35,6°
Tulonopeus: 31,8 km/s
Radiantin R,A,: 03:32 (53,0°)
Radiantin Dekl,: 23,4°
Meteoriparvi: Pohjoiset tauridit
Meteoroidin rataelementit:
Perihelietäisyys: 0,332 AU
Eksentrisyys: 0,858
Inklinaatio: 5,3°
Nousevan solmun pituus: 223,5°
Perihelin argumentti: 296,2°
Keskianomalia: 348,6°
Epookki: 2024 NOV 05 19:47:29
orbit plot

Ei-interaktiivinen kuvaaja | Interaktiivinen kuvaaja

position vs time
speed and acceleration