🇳🇴 🇬🇧 🇩🇪 🇨🇿 🇫🇮

Meteor, poloha: Birkeland 2024-11-06 00:14:28 UTC

Soubor KML  |  InteraktivnĂ­ mapa

Mapa zobrazuje dráhy meteoru. Světlejší čáry ukazují směry od pozorovacích stanic při objevení se meteoru a tmavší čáry, kde byl naposledy viděn. Modrá šipka značí viditelnou dráhu meteoru.

static map
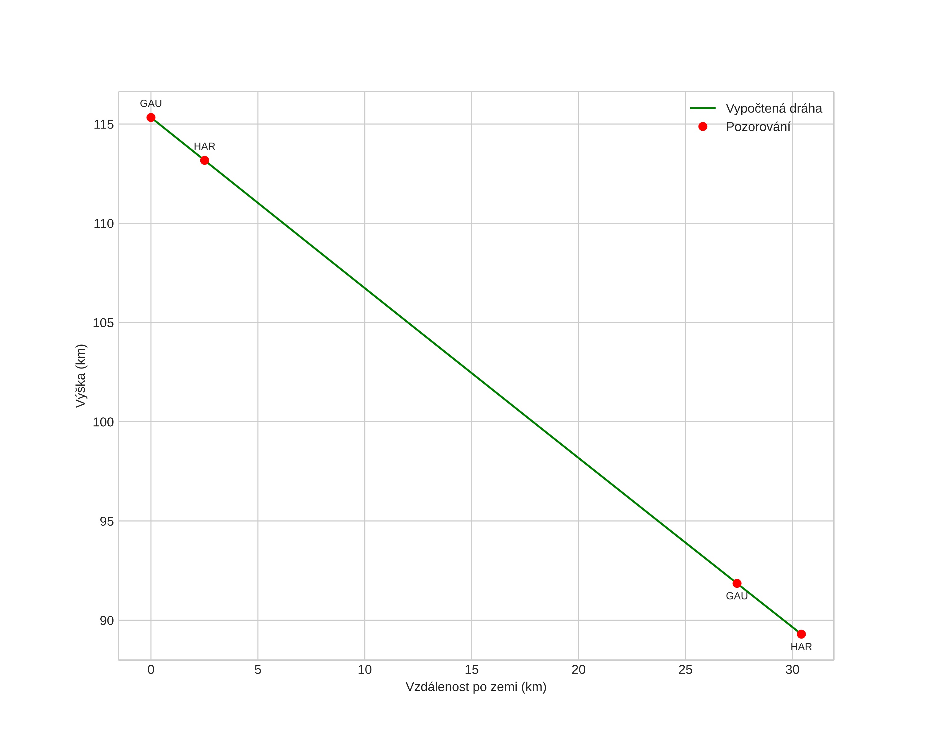
height profile
Atmosférická dráha meteoru:
Počáteční výška: 115,5 km
Konečná výška: 88,7 km
Počáteční poloha: 58,567N 8,642E
Konečná poloha: 58,454N 8,171E
Směr: 245,5°
Sklon: 41,7°
VstupnĂ­ rychlost: 63,1 km/s
Rektascenze radiantu: 09:23 (140,8°)
Deklinace radiantu: 46,7°
MeteorickĂ˝ roj: sporadickĂ˝
Elementy dráhy meteoroidu:
Vzdálenost v periheliu: 0,963 AU
Excentricita: 0,717
Sklon dráhy: 127,4°
Délka vzestupného uzlu: 223,7°
Argument perihelia: 201,4°
Střední anomálie: 357,5°
Epocha: 2024 NOV 06 00:14:28
orbit plot

NeinteraktivnĂ­ graf | InteraktivnĂ­ graf

position vs time
speed and acceleration