🇳🇴 🇬🇧 🇩🇪 🇨🇿 🇫🇮

Meteor Birkelandin yllä 2024-11-06 00:14:28 UTC

KML-tiedosto  |  Interaktiivinen kartta

Kartta näyttää meteorin suuntahavainnot. Vaaleammat viivat näyttävät suunnat havaintoasemilta meteorin ilmestyessä, ja tummemmat viivat näyttävät, missä se viimeksi nähtiin. Sininen nuoli näyttää meteorin näkyvän lennon.

static map
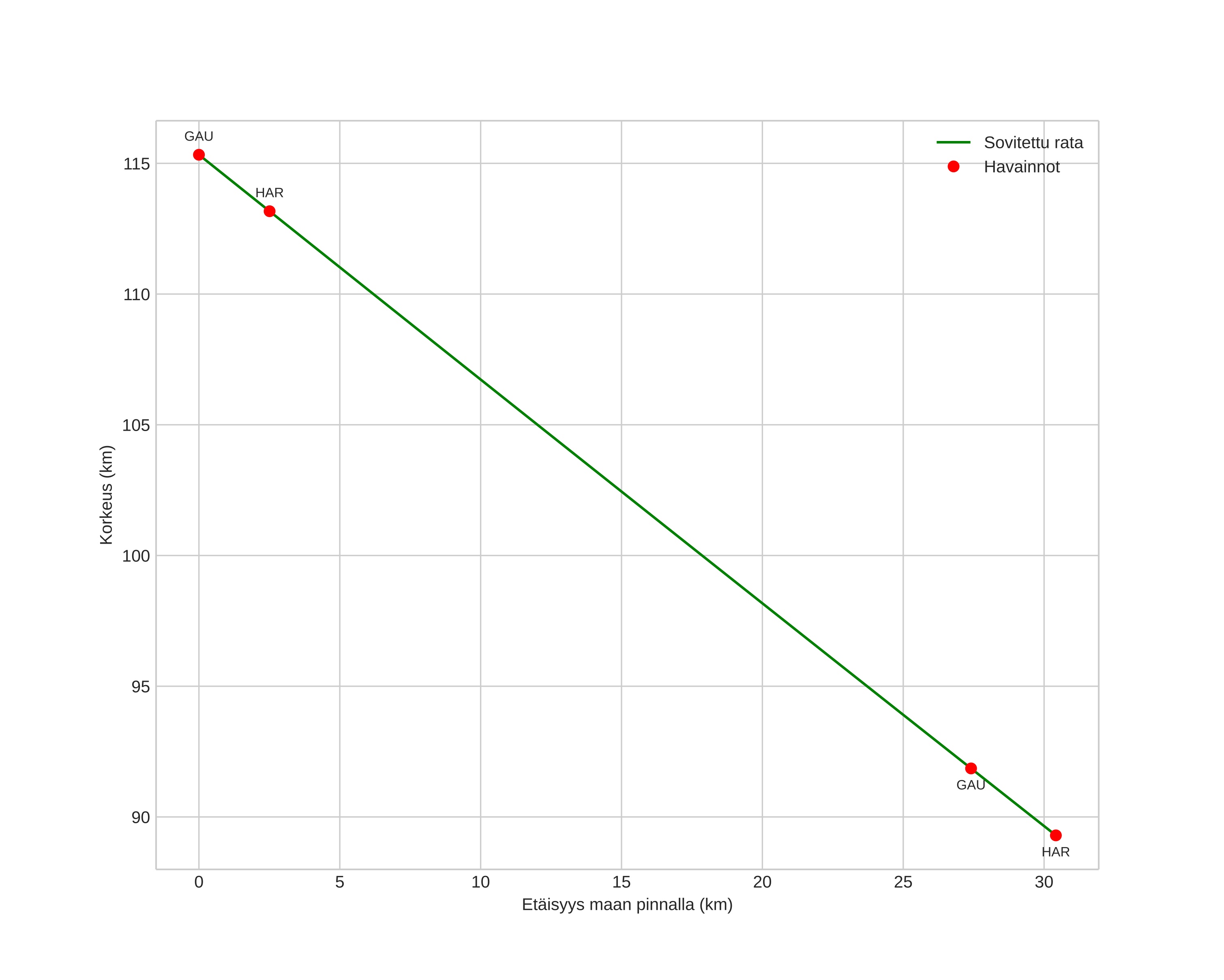
height profile
Meteorin ilmakehärata:
Alkukorkeus: 115,5 km
Loppukorkeus: 88,7 km
Alkupiste: 58,567N 8,642E
Loppupiste: 58,454N 8,171E
Suunta: 245,5°
Kallistuskulma: 41,7°
Tulonopeus: 63,1 km/s
Radiantin R,A,: 09:23 (140,8°)
Radiantin Dekl,: 46,7°
Meteoriparvi: Sporadinen
Meteoroidin rataelementit:
Perihelietäisyys: 0,963 AU
Eksentrisyys: 0,717
Inklinaatio: 127,4°
Nousevan solmun pituus: 223,7°
Perihelin argumentti: 201,4°
Keskianomalia: 357,5°
Epookki: 2024 NOV 06 00:14:28
orbit plot

Ei-interaktiivinen kuvaaja | Interaktiivinen kuvaaja

position vs time
speed and acceleration