🇳🇴 🇬🇧 🇩🇪 🇨🇿 🇫🇮

Meteor, poloha: Reinsvoll 2024-11-06 19:50:54 UTC

Soubor KML  |  InteraktivnĂ­ mapa

Mapa zobrazuje dráhy meteoru. Světlejší čáry ukazují směry od pozorovacích stanic při objevení se meteoru a tmavší čáry, kde byl naposledy viděn. Modrá šipka značí viditelnou dráhu meteoru.

static map
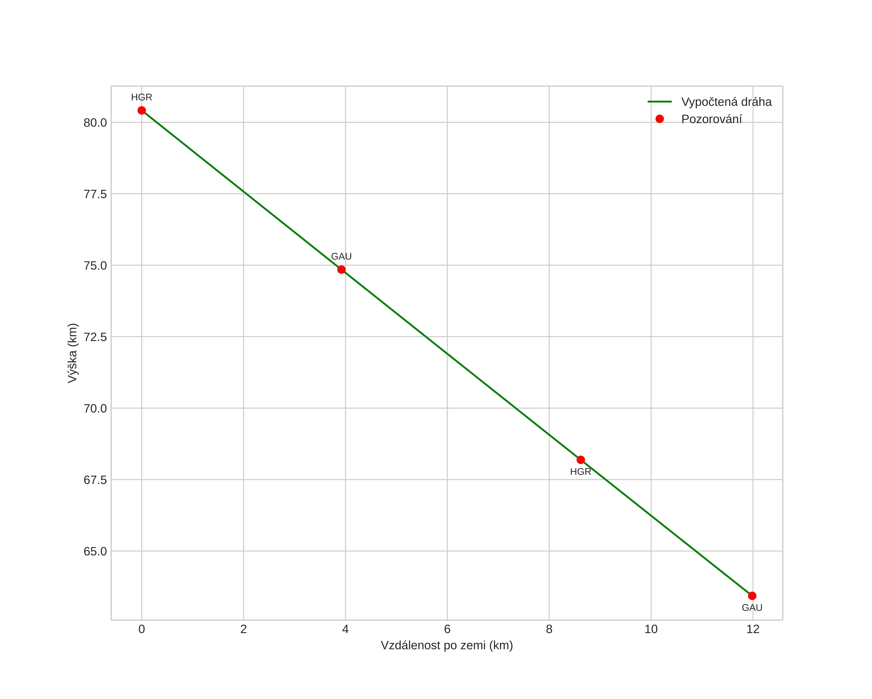
height profile
Atmosférická dráha meteoru:
Počáteční výška: 80,4 km
Konečná výška: 63,4 km
Počáteční poloha: 60,446N 10,807E
Konečná poloha: 60,534N 10,680E
Směr: 324,8°
Sklon: 54,7°
VstupnĂ­ rychlost: 17,2 km/s
Rektascenze radiantu: 01:11 (17,8°)
Deklinace radiantu: 23,7°
MeteorickĂ˝ roj: sporadickĂ˝
Elementy dráhy meteoroidu:
Vzdálenost v periheliu: 0,832 AU
Excentricita: 0,567
Sklon dráhy: 5,6°
Délka vzestupného uzlu: 224,5°
Argument perihelia: 236,3°
Střední anomálie: 345,5°
Epocha: 2024 NOV 06 19:50:54
orbit plot

NeinteraktivnĂ­ graf | InteraktivnĂ­ graf

position vs time
speed and acceleration