🇳🇴 🇬🇧 🇩🇪 🇨🇿 🇫🇮

Meteor Reinsvollin yllä 2024-11-06 19:50:54 UTC

KML-tiedosto  |  Interaktiivinen kartta

Kartta näyttää meteorin suuntahavainnot. Vaaleammat viivat näyttävät suunnat havaintoasemilta meteorin ilmestyessä, ja tummemmat viivat näyttävät, missä se viimeksi nähtiin. Sininen nuoli näyttää meteorin näkyvän lennon.

static map
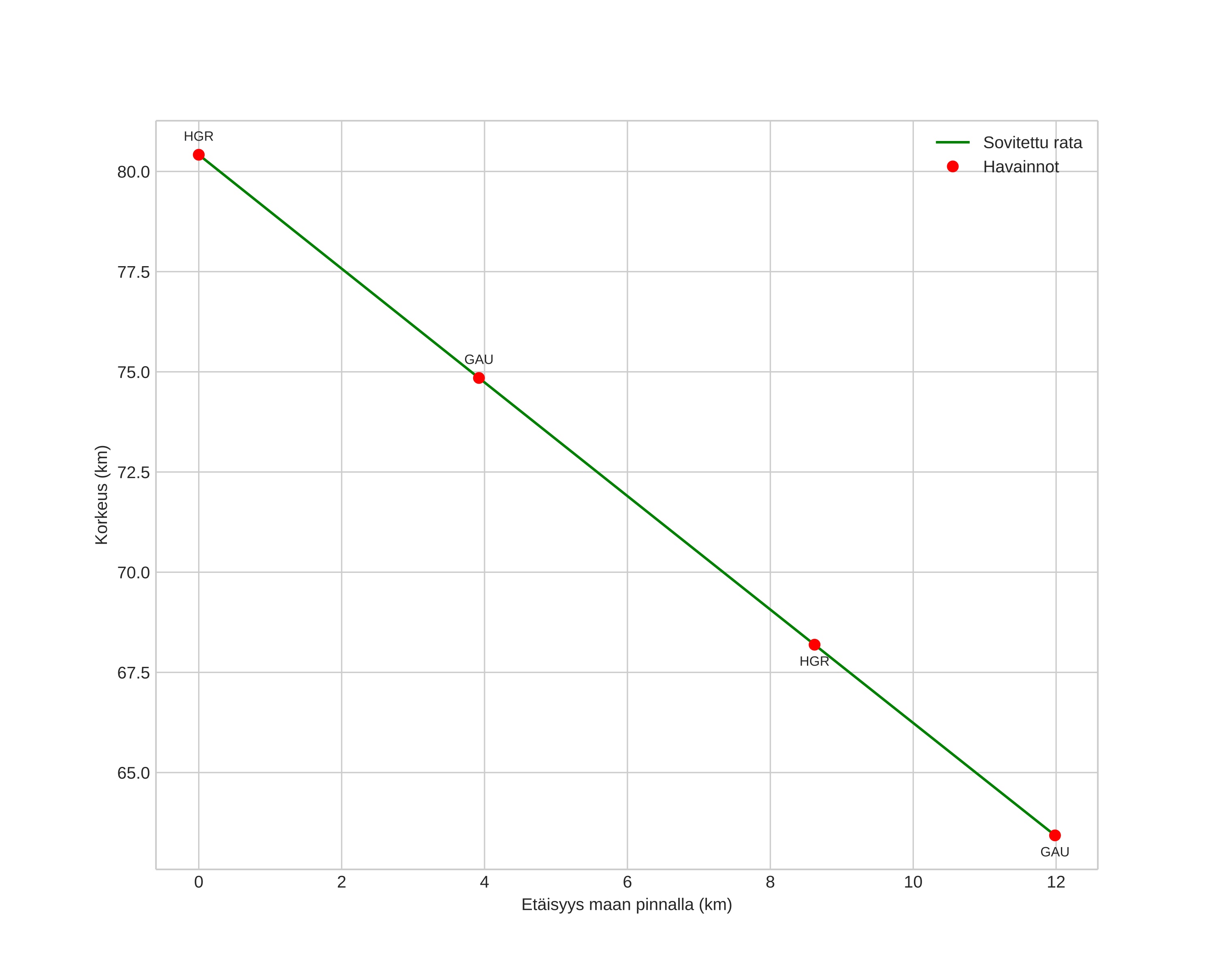
height profile
Meteorin ilmakehärata:
Alkukorkeus: 80,4 km
Loppukorkeus: 63,4 km
Alkupiste: 60,446N 10,807E
Loppupiste: 60,534N 10,680E
Suunta: 324,8°
Kallistuskulma: 54,7°
Tulonopeus: 17,2 km/s
Radiantin R,A,: 01:11 (17,8°)
Radiantin Dekl,: 23,7°
Meteoriparvi: Sporadinen
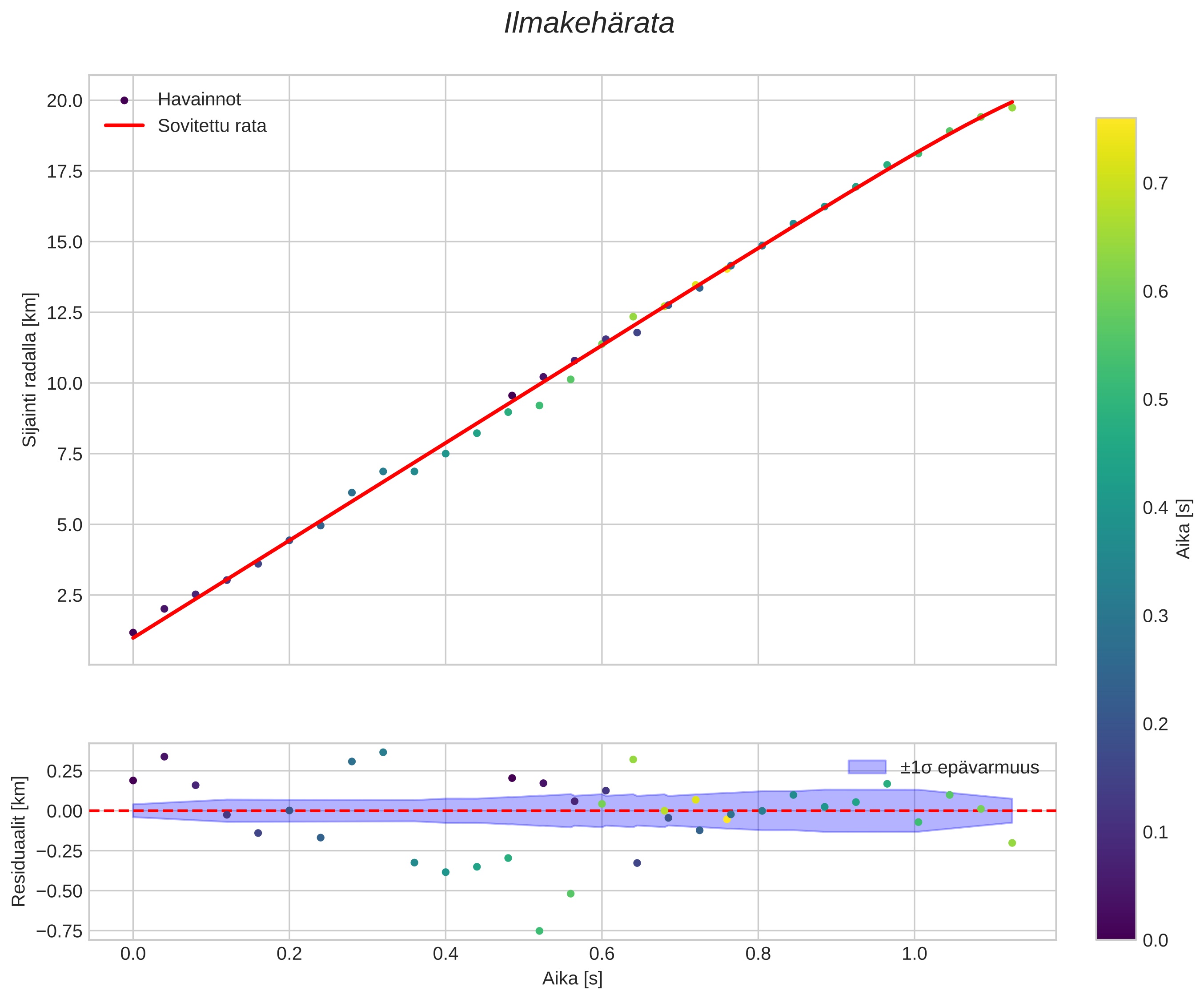
Meteoroidin rataelementit:
Perihelietäisyys: 0,832 AU
Eksentrisyys: 0,567
Inklinaatio: 5,6°
Nousevan solmun pituus: 224,5°
Perihelin argumentti: 236,3°
Keskianomalia: 345,5°
Epookki: 2024 NOV 06 19:50:54
orbit plot

Ei-interaktiivinen kuvaaja | Interaktiivinen kuvaaja

position vs time
speed and acceleration