🇳🇴 🇬🇧 🇩🇪 🇨🇿 🇫🇮

Meteor, poloha: VĂĄler 2024-11-07 01:20:37 UTC

Soubor KML  |  InteraktivnĂ­ mapa

Mapa zobrazuje dráhy meteoru. Světlejší čáry ukazují směry od pozorovacích stanic při objevení se meteoru a tmavší čáry, kde byl naposledy viděn. Modrá šipka značí viditelnou dráhu meteoru.

static map
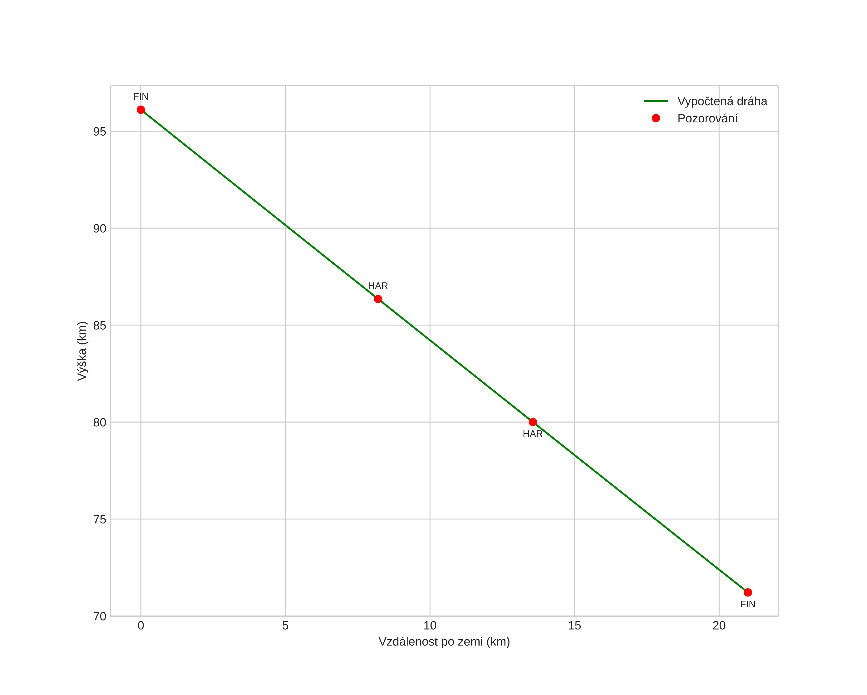
height profile
Atmosférická dráha meteoru:
Počáteční výška: 98,8 km
Konečná výška: 71,3 km
Počáteční poloha: 60,774N 11,643E
Konečná poloha: 60,944N 11,893E
Směr: 35,5°
Sklon: 49,7°
VstupnĂ­ rychlost: 30,2 km/s
Rektascenze radiantu: 03:31 (52,9°)
Deklinace radiantu: 22,4°
MeteorickĂ˝ roj: SevernĂ­ Tauridy
Elementy dráhy meteoroidu:
Vzdálenost v periheliu: 0,365 AU
Excentricita: 0,835
Sklon dráhy: 3,7°
Délka vzestupného uzlu: 224,7°
Argument perihelia: 292,9°
Střední anomálie: 347,2°
Epocha: 2024 NOV 07 01:20:37
orbit plot

NeinteraktivnĂ­ graf | InteraktivnĂ­ graf

position vs time
speed and acceleration