🇳🇴 🇬🇧 🇩🇪 🇨🇿 🇫🇮

Meteor Vålerin yllä 2024-11-07 01:20:37 UTC

KML-tiedosto  |  Interaktiivinen kartta

Kartta näyttää meteorin suuntahavainnot. Vaaleammat viivat näyttävät suunnat havaintoasemilta meteorin ilmestyessä, ja tummemmat viivat näyttävät, missä se viimeksi nähtiin. Sininen nuoli näyttää meteorin näkyvän lennon.

static map
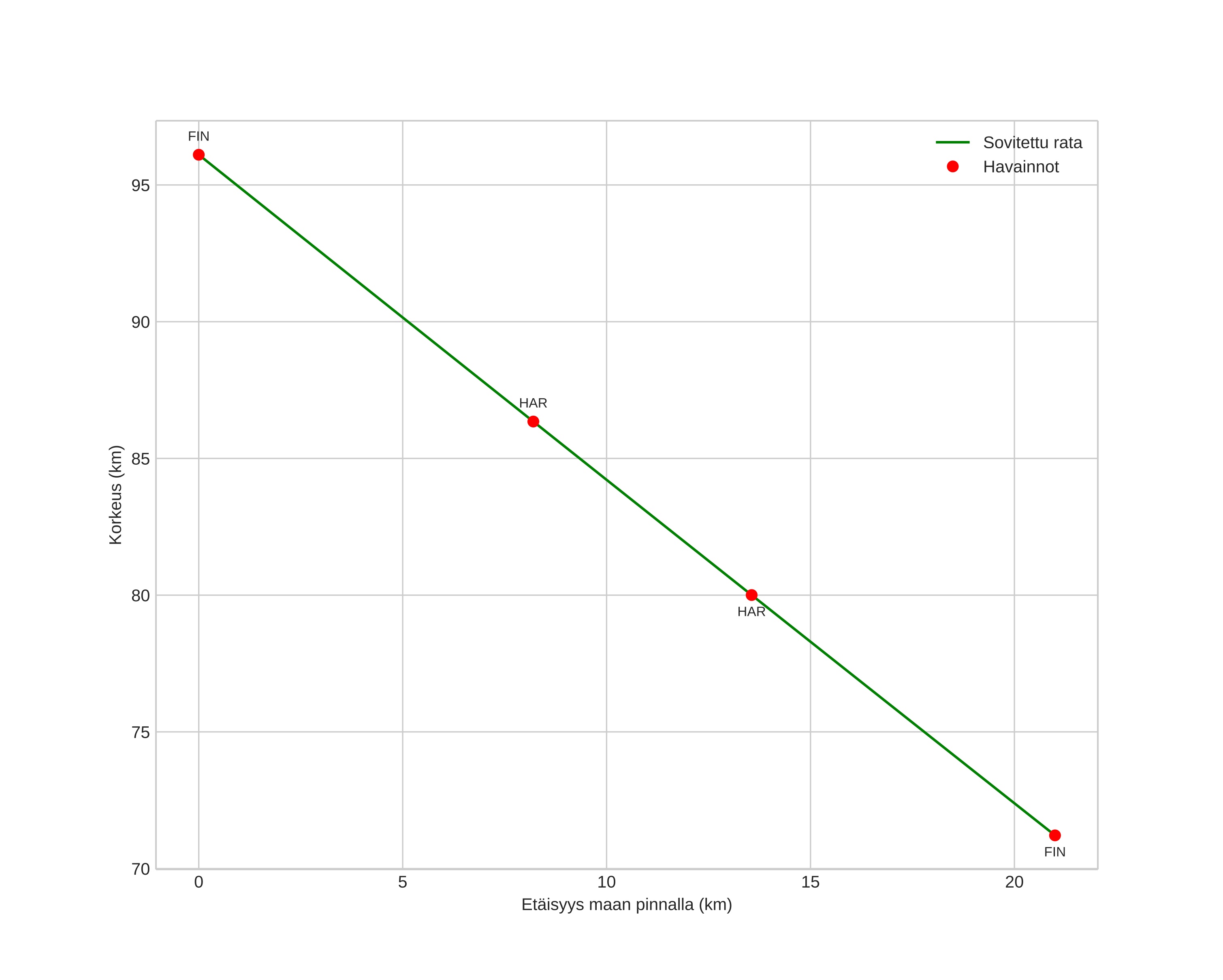
height profile
Meteorin ilmakehärata:
Alkukorkeus: 98,8 km
Loppukorkeus: 71,3 km
Alkupiste: 60,774N 11,643E
Loppupiste: 60,944N 11,893E
Suunta: 35,5°
Kallistuskulma: 49,7°
Tulonopeus: 30,2 km/s
Radiantin R,A,: 03:31 (52,9°)
Radiantin Dekl,: 22,4°
Meteoriparvi: Pohjoiset tauridit
Meteoroidin rataelementit:
Perihelietäisyys: 0,365 AU
Eksentrisyys: 0,835
Inklinaatio: 3,7°
Nousevan solmun pituus: 224,7°
Perihelin argumentti: 292,9°
Keskianomalia: 347,2°
Epookki: 2024 NOV 07 01:20:37
orbit plot

Ei-interaktiivinen kuvaaja | Interaktiivinen kuvaaja

position vs time
speed and acceleration