🇳🇴 🇬🇧 🇩🇪 🇨🇿 🇫🇮

Meteor, poloha: Rena 2024-11-07 04:53:28 UTC

Soubor KML  |  InteraktivnĂ­ mapa

Mapa zobrazuje dráhy meteoru. Světlejší čáry ukazují směry od pozorovacích stanic při objevení se meteoru a tmavší čáry, kde byl naposledy viděn. Modrá šipka značí viditelnou dráhu meteoru.

static map
height profile
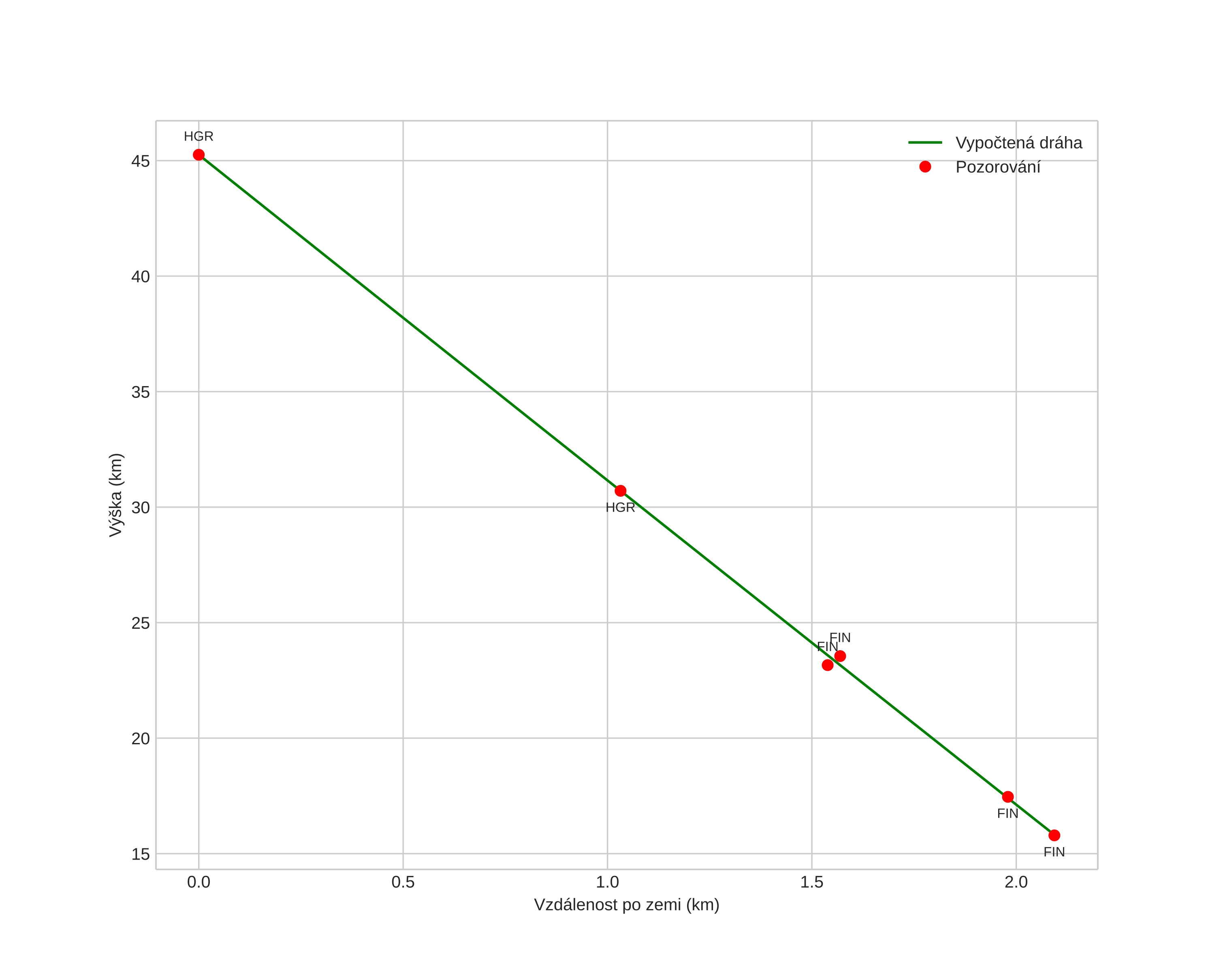
Atmosférická dráha meteoru:
Počáteční výška: 46,3 km
Konečná výška: 15,6 km
Počáteční poloha: 61,421N 11,695E
Konečná poloha: 61,400N 11,687E
Směr: 191,3°
Sklon: 85,7°
VstupnĂ­ rychlost: 23,4 km/s
Rektascenze radiantu: 08:48 (132,1°)
Deklinace radiantu: 65,9°
MeteorickĂ˝ roj: sporadickĂ˝
Elementy dráhy meteoroidu:
Vzdálenost v periheliu: 0,375 AU
Excentricita: 0,467
Sklon dráhy: 41,5°
Délka vzestupného uzlu: 224,9°
Argument perihelia: 342,1°
Střední anomálie: 222,4°
Epocha: 2024 NOV 07 04:53:28
orbit plot

NeinteraktivnĂ­ graf | InteraktivnĂ­ graf

position vs time
speed and acceleration