🇳🇴 🇬🇧 🇩🇪 🇨🇿 🇫🇮

Meteor Renan yllä 2024-11-07 04:53:28 UTC

KML-tiedosto  |  Interaktiivinen kartta

Kartta näyttää meteorin suuntahavainnot. Vaaleammat viivat näyttävät suunnat havaintoasemilta meteorin ilmestyessä, ja tummemmat viivat näyttävät, missä se viimeksi nähtiin. Sininen nuoli näyttää meteorin näkyvän lennon.

static map
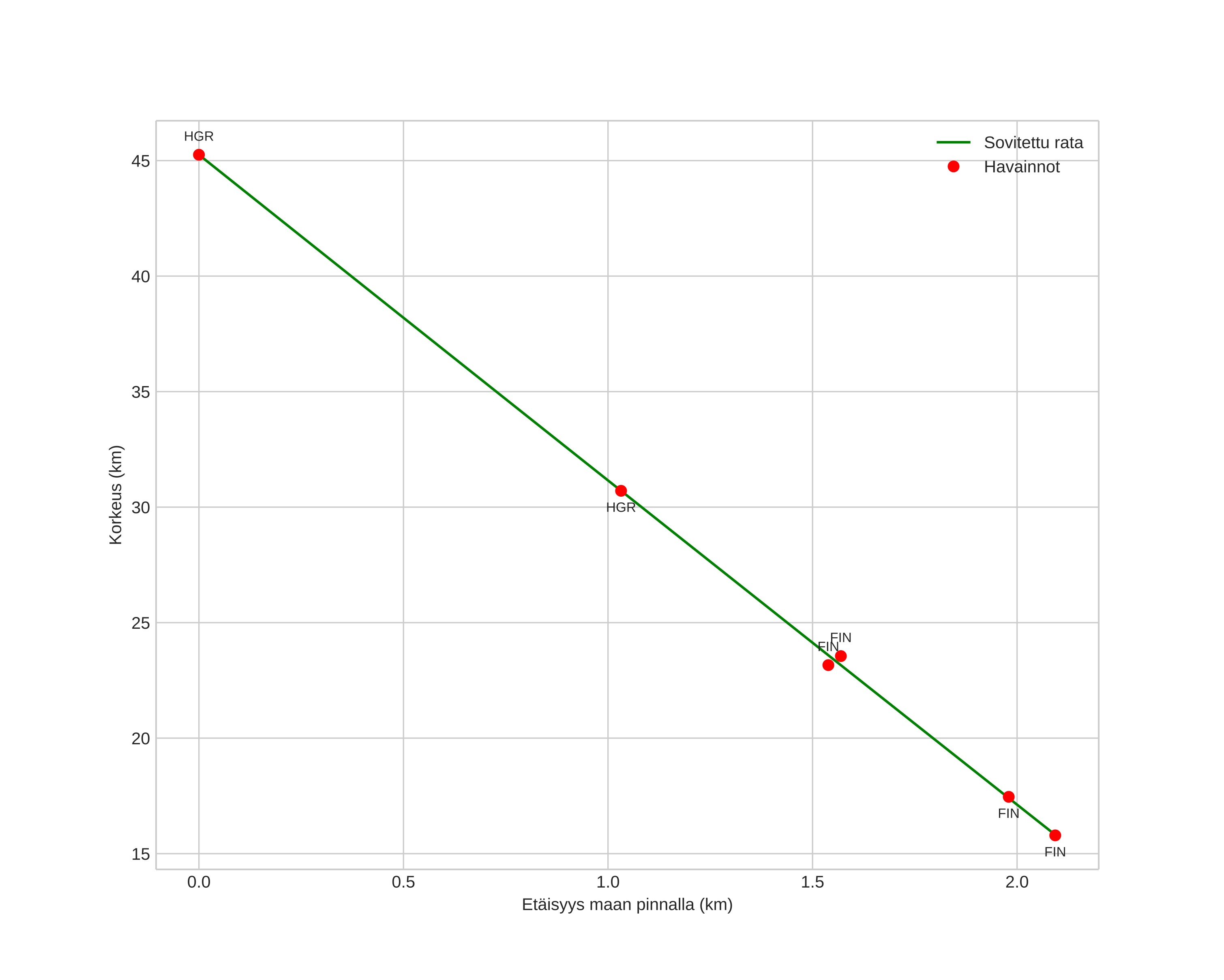
height profile
Meteorin ilmakehärata:
Alkukorkeus: 46,3 km
Loppukorkeus: 15,6 km
Alkupiste: 61,421N 11,695E
Loppupiste: 61,400N 11,687E
Suunta: 191,3°
Kallistuskulma: 85,7°
Tulonopeus: 23,4 km/s
Radiantin R,A,: 08:48 (132,1°)
Radiantin Dekl,: 65,9°
Meteoriparvi: Sporadinen
Meteoroidin rataelementit:
Perihelietäisyys: 0,375 AU
Eksentrisyys: 0,467
Inklinaatio: 41,5°
Nousevan solmun pituus: 224,9°
Perihelin argumentti: 342,1°
Keskianomalia: 222,4°
Epookki: 2024 NOV 07 04:53:28
orbit plot

Ei-interaktiivinen kuvaaja | Interaktiivinen kuvaaja

position vs time
speed and acceleration