🇳🇴 🇬🇧 🇩🇪 🇨🇿 🇫🇮

Meteor, poloha: Karlholmsbruk 2024-11-11 23:57:51 UTC

Soubor KML  |  InteraktivnĂ­ mapa

Mapa zobrazuje dráhy meteoru. Světlejší čáry ukazují směry od pozorovacích stanic při objevení se meteoru a tmavší čáry, kde byl naposledy viděn. Modrá šipka značí viditelnou dráhu meteoru.

static map
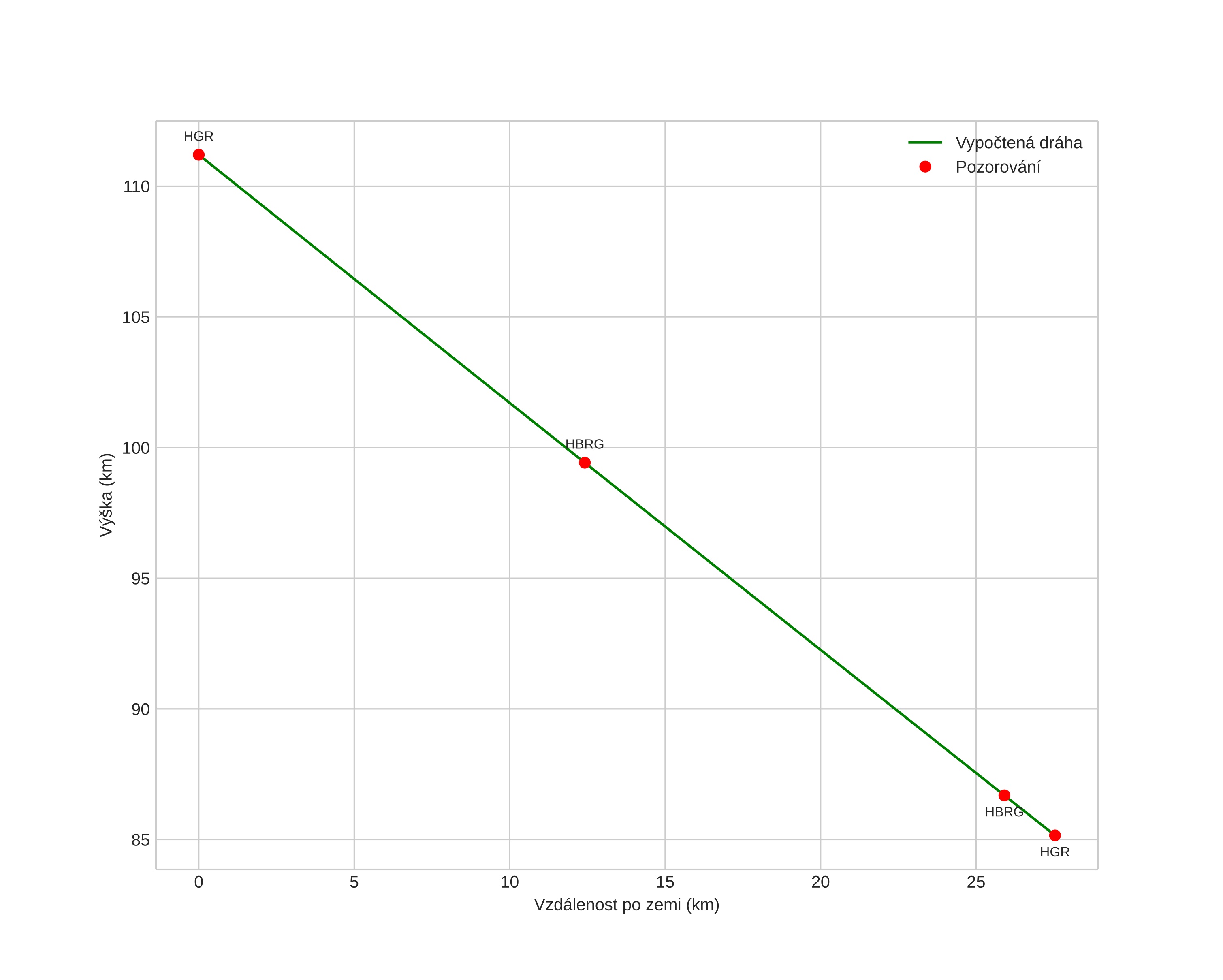
height profile
Atmosférická dráha meteoru:
Počáteční výška: 111,3 km
Konečná výška: 85,1 km
Počáteční poloha: 60,531N 18,118E
Konečná poloha: 60,613N 17,638E
Směr: 289,3°
Sklon: 43,4°
VstupnĂ­ rychlost: 72,2 km/s
Rektascenze radiantu: 08:00 (120,2°)
Deklinace radiantu: 28,5°
MeteorickĂ˝ roj: sporadickĂ˝
Elementy dráhy meteoroidu:
Vzdálenost v periheliu: 0,645 AU
Excentricita: 1,224
Sklon dráhy: 164,5°
Délka vzestupného uzlu: 229,8°
Argument perihelia: 248,4°
Střední anomálie: -6,6°
Epocha: 2024 NOV 11 23:57:51
orbit plot

NeinteraktivnĂ­ graf | InteraktivnĂ­ graf

position vs time
speed and acceleration