🇳🇴 🇬🇧 🇩🇪 🇨🇿 🇫🇮

Meteor Karlholmsbrukin yllä 2024-11-11 23:57:51 UTC

KML-tiedosto  |  Interaktiivinen kartta

Kartta näyttää meteorin suuntahavainnot. Vaaleammat viivat näyttävät suunnat havaintoasemilta meteorin ilmestyessä, ja tummemmat viivat näyttävät, missä se viimeksi nähtiin. Sininen nuoli näyttää meteorin näkyvän lennon.

static map
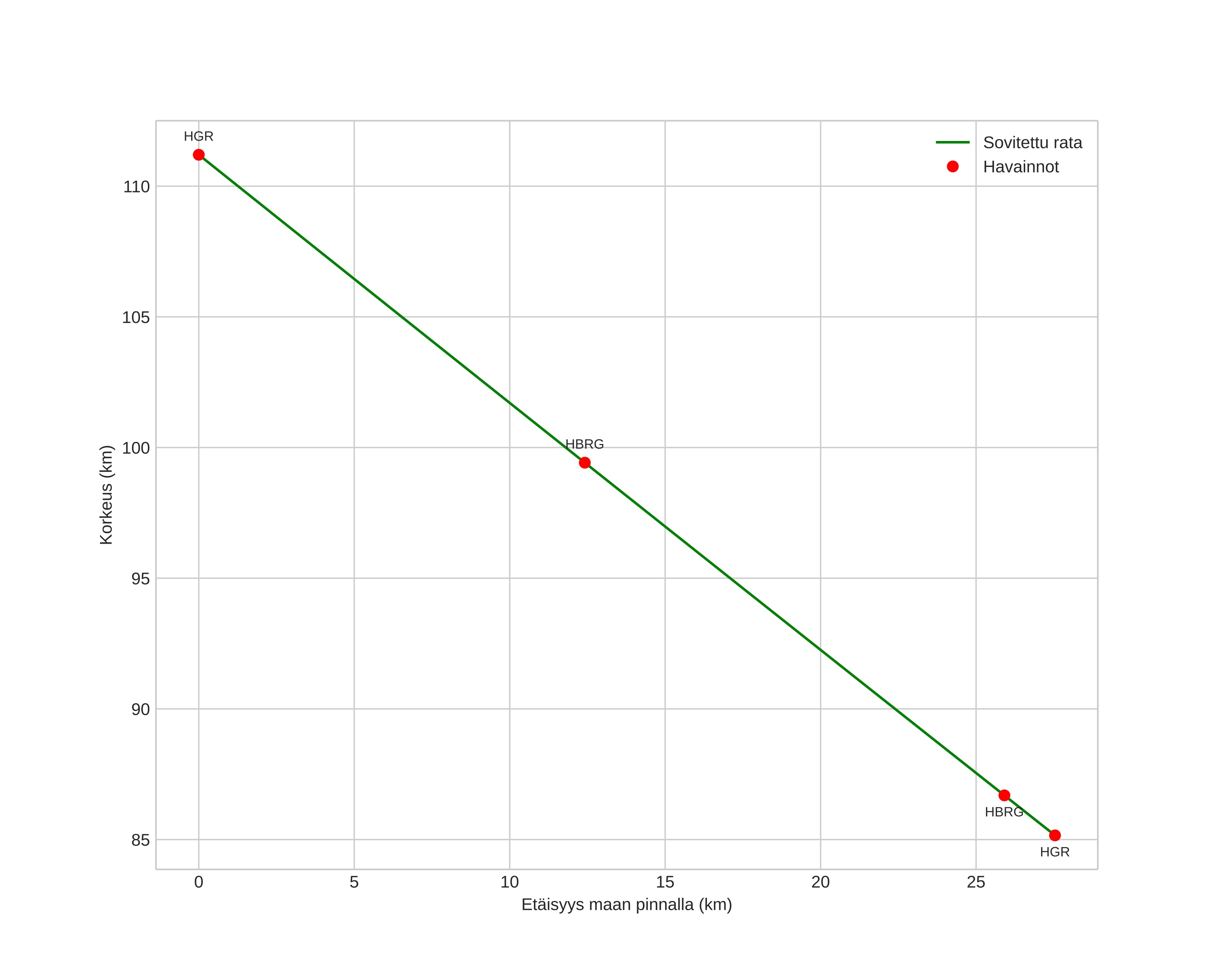
height profile
Meteorin ilmakehärata:
Alkukorkeus: 111,3 km
Loppukorkeus: 85,1 km
Alkupiste: 60,531N 18,118E
Loppupiste: 60,613N 17,638E
Suunta: 289,3°
Kallistuskulma: 43,4°
Tulonopeus: 72,2 km/s
Radiantin R,A,: 08:00 (120,2°)
Radiantin Dekl,: 28,5°
Meteoriparvi: Sporadinen
Meteoroidin rataelementit:
Perihelietäisyys: 0,645 AU
Eksentrisyys: 1,224
Inklinaatio: 164,5°
Nousevan solmun pituus: 229,8°
Perihelin argumentti: 248,4°
Keskianomalia: -6,6°
Epookki: 2024 NOV 11 23:57:51
orbit plot

Ei-interaktiivinen kuvaaja | Interaktiivinen kuvaaja

position vs time
speed and acceleration