🇳🇴 🇬🇧 🇩🇪 🇨🇿 🇫🇮

Meteor, poloha: Stange 2024-11-12 00:51:44 UTC

Soubor KML  |  InteraktivnĂ­ mapa

Mapa zobrazuje dráhy meteoru. Světlejší čáry ukazují směry od pozorovacích stanic při objevení se meteoru a tmavší čáry, kde byl naposledy viděn. Modrá šipka značí viditelnou dráhu meteoru.

static map
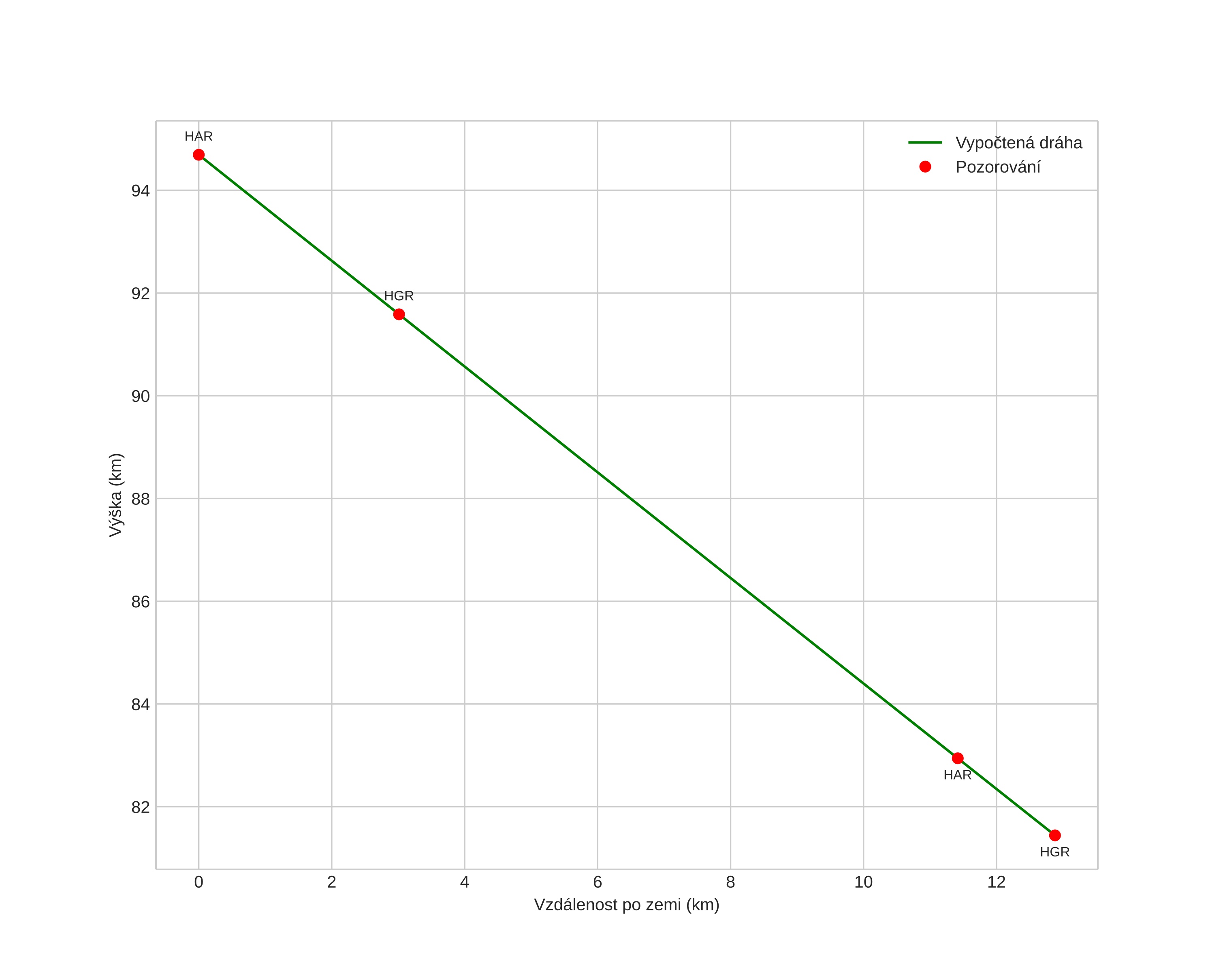
height profile
Atmosférická dráha meteoru:
Počáteční výška: 97,0 km
Konečná výška: 81,9 km
Počáteční poloha: 60,553N 11,200E
Konečná poloha: 60,665N 11,282E
Směr: 19,9°
Sklon: 48,9°
VstupnĂ­ rychlost: 32,2 km/s
Rektascenze radiantu: 04:03 (60,8°)
Deklinace radiantu: 19,1°
MeteorickĂ˝ roj: SevernĂ­ Tauridy
Elementy dráhy meteoroidu:
Vzdálenost v periheliu: 0,323 AU
Excentricita: 0,873
Sklon dráhy: 2,0°
Délka vzestupného uzlu: 49,9°
Argument perihelia: 116,4°
Střední anomálie: 350,1°
Epocha: 2024 NOV 12 00:51:44
orbit plot

NeinteraktivnĂ­ graf | InteraktivnĂ­ graf

position vs time
speed and acceleration