🇳🇴 🇬🇧 🇩🇪 🇨🇿 🇫🇮

Meteor Stangen yllä 2024-11-12 00:51:44 UTC

KML-tiedosto  |  Interaktiivinen kartta

Kartta näyttää meteorin suuntahavainnot. Vaaleammat viivat näyttävät suunnat havaintoasemilta meteorin ilmestyessä, ja tummemmat viivat näyttävät, missä se viimeksi nähtiin. Sininen nuoli näyttää meteorin näkyvän lennon.

static map
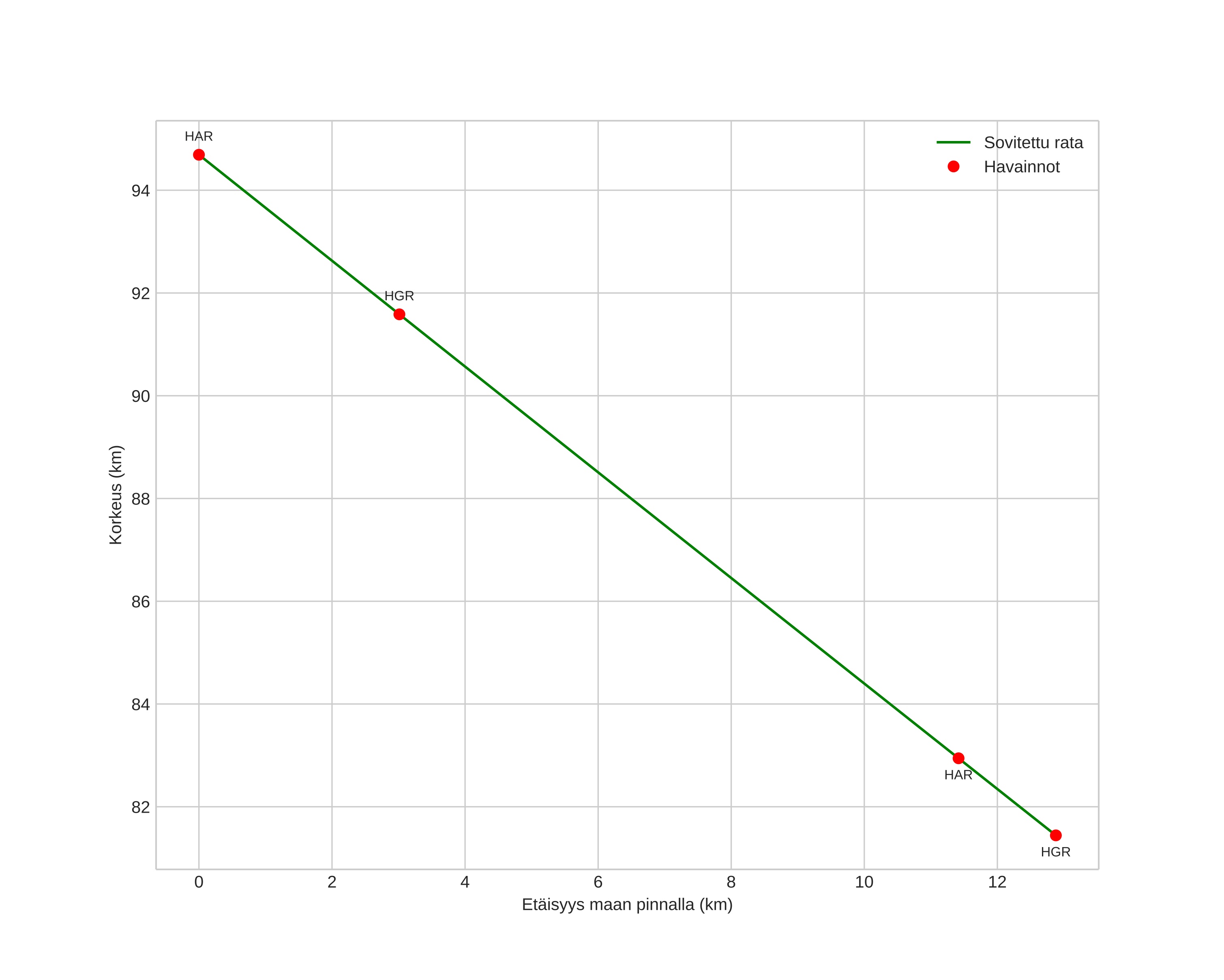
height profile
Meteorin ilmakehärata:
Alkukorkeus: 97,0 km
Loppukorkeus: 81,9 km
Alkupiste: 60,553N 11,200E
Loppupiste: 60,665N 11,282E
Suunta: 19,9°
Kallistuskulma: 48,9°
Tulonopeus: 32,2 km/s
Radiantin R,A,: 04:03 (60,8°)
Radiantin Dekl,: 19,1°
Meteoriparvi: Pohjoiset tauridit
Meteoroidin rataelementit:
Perihelietäisyys: 0,323 AU
Eksentrisyys: 0,873
Inklinaatio: 2,0°
Nousevan solmun pituus: 49,9°
Perihelin argumentti: 116,4°
Keskianomalia: 350,1°
Epookki: 2024 NOV 12 00:51:44
orbit plot

Ei-interaktiivinen kuvaaja | Interaktiivinen kuvaaja

position vs time
speed and acceleration