🇳🇴 🇬🇧 🇩🇪 🇨🇿 🇫🇮

Meteor, poloha: Ed 2024-11-12 04:16:59 UTC

Soubor KML  |  InteraktivnĂ­ mapa

Mapa zobrazuje dráhy meteoru. Světlejší čáry ukazují směry od pozorovacích stanic při objevení se meteoru a tmavší čáry, kde byl naposledy viděn. Modrá šipka značí viditelnou dráhu meteoru.

static map
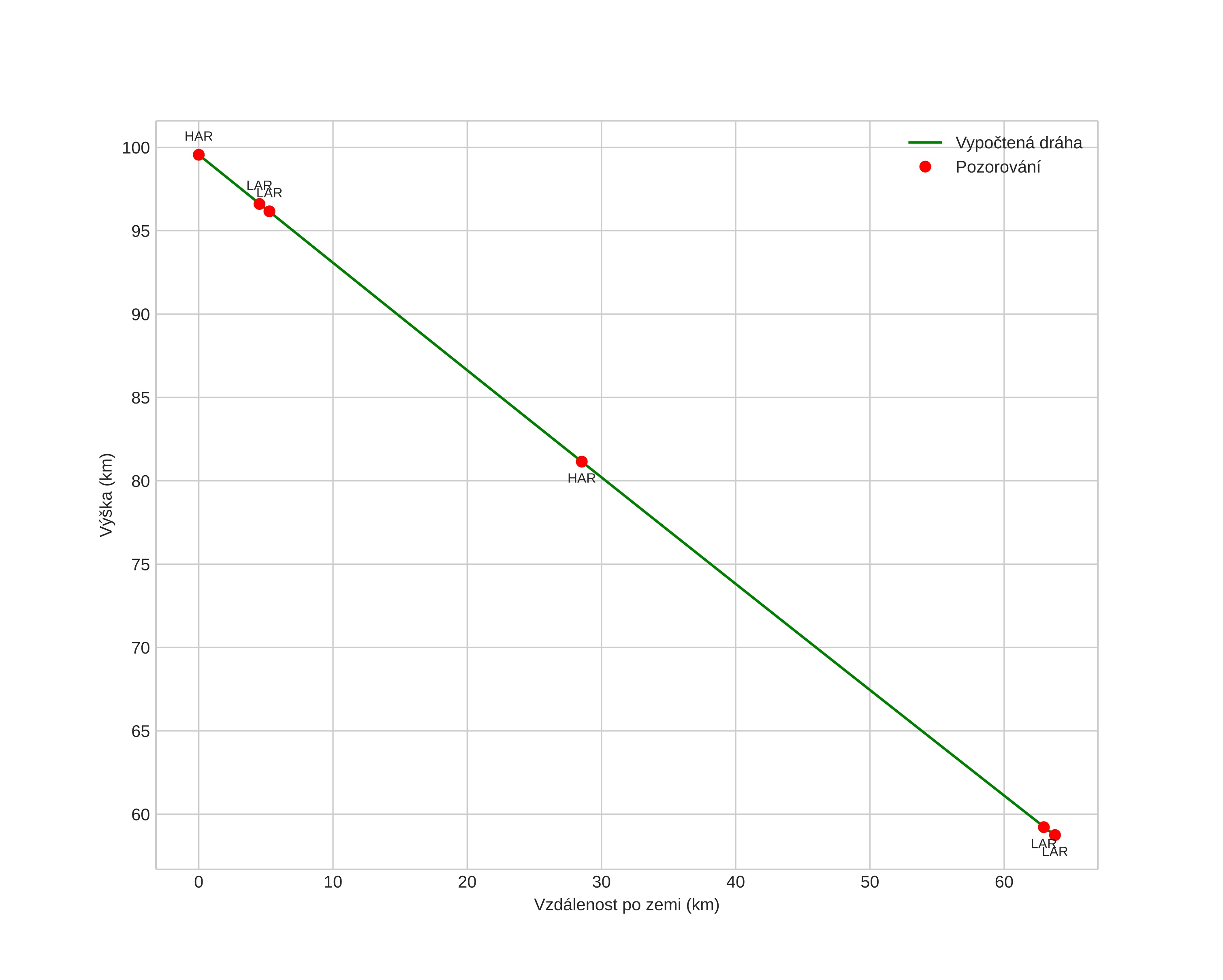
height profile
Atmosférická dráha meteoru:
Počáteční výška: 99,5 km
Konečná výška: 58,7 km
Počáteční poloha: 58,774N 10,811E
Konečná poloha: 58,831N 11,912E
Směr: 83,8°
Sklon: 32,6°
VstupnĂ­ rychlost: 29,9 km/s
Rektascenze radiantu: 03:51 (58,0°)
Deklinace radiantu: 22,3°
MeteorickĂ˝ roj: SevernĂ­ Tauridy
Elementy dráhy meteoroidu:
Vzdálenost v periheliu: 0,374 AU
Excentricita: 0,835
Sklon dráhy: 2,3°
Délka vzestupného uzlu: 229,9°
Argument perihelia: 291,6°
Střední anomálie: 347,8°
Epocha: 2024 NOV 12 04:16:59
orbit plot

NeinteraktivnĂ­ graf | InteraktivnĂ­ graf

position vs time
speed and acceleration