🇳🇴 🇬🇧 🇩🇪 🇨🇿 🇫🇮

Meteor über Ed 2024-11-12 04:16:59 UTC

KML-Datei  |  Interaktive Karte

Die Karte zeigt die Peilungen für den Meteor. Die helleren Linien zeigen die Richtungen von den Beobachtungsorten beim Erscheinen des Meteors, und die dunkleren Linien, wo er zuletzt gesehen wurde. Der blaue Pfeil zeigt die sichtbare Bahn des Meteors.

static map
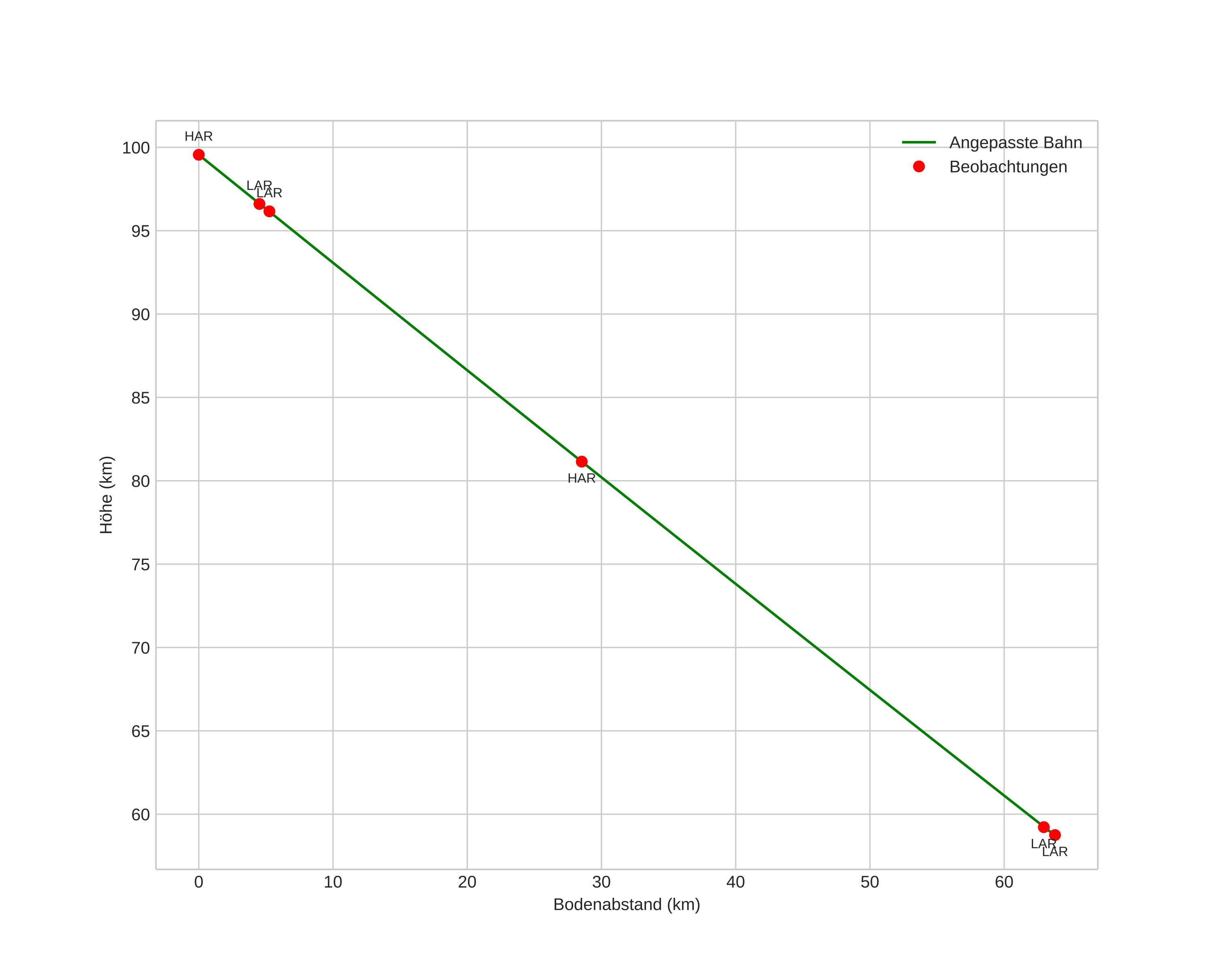
height profile
Atmosphärische Bahn des Meteors:
Anfangshöhe: 99,5 km
Endhöhe: 58,7 km
Startposition: 58,774N 10,811E
Endposition: 58,831N 11,912E
Richtung: 83,8°
Neigungswinkel: 32,6°
Eintrittsgeschwindigkeit: 29,9 km/s
Rektaszension des Radianten: 03:51 (58,0°)
Deklination des Radianten: 22,3°
Meteorstrom: Nördliche Tauriden
Bahnelemente des Meteoroiden:
Periheldistanz: 0,374 AU
Exzentrizität: 0,835
Inklination: 2,3°
Länge des aufsteigenden Knotens: 229,9°
Argument des Perihels: 291,6°
Mittlere Anomalie: 347,8°
Epoche: 2024 NOV 12 04:16:59
orbit plot

Nicht-interaktives Diagramm | Interaktives Diagramm

position vs time
speed and acceleration