🇳🇴 🇬🇧 🇩🇪 🇨🇿 🇫🇮

Meteor, poloha: Ed 2024-11-13 01:54:27 UTC

Soubor KML  |  InteraktivnĂ­ mapa

Mapa zobrazuje dráhy meteoru. Světlejší čáry ukazují směry od pozorovacích stanic při objevení se meteoru a tmavší čáry, kde byl naposledy viděn. Modrá šipka značí viditelnou dráhu meteoru.

static map
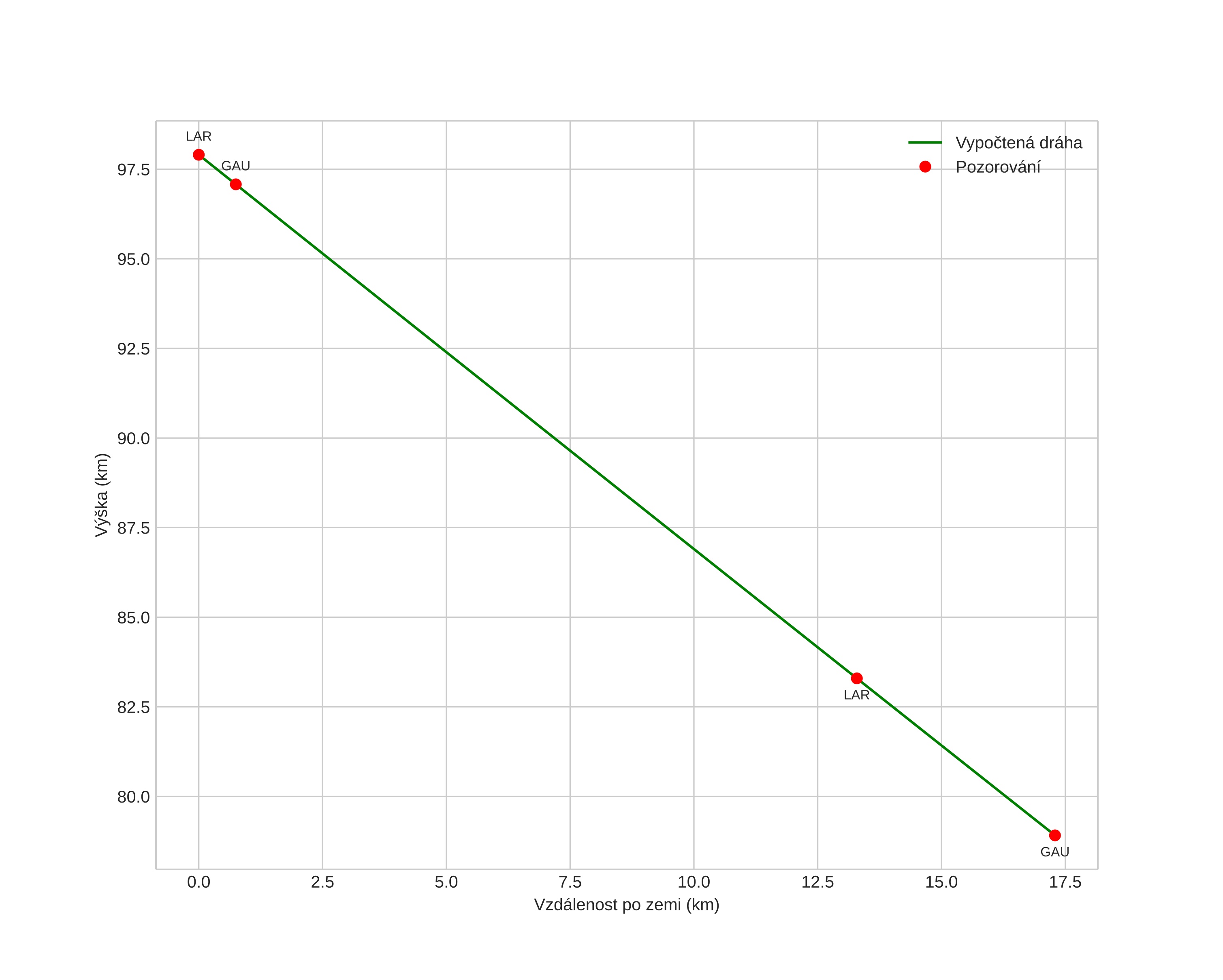
height profile
Atmosférická dráha meteoru:
Počáteční výška: 101,1 km
Konečná výška: 86,6 km
Počáteční poloha: 58,820N 11,736E
Konečná poloha: 58,902N 11,924E
Směr: 49,8°
Sklon: 45,8°
VstupnĂ­ rychlost: 32,0 km/s
Rektascenze radiantu: 03:45 (56,5°)
Deklinace radiantu: 20,7°
MeteorickĂ˝ roj: SevernĂ­ Tauridy
Elementy dráhy meteoroidu:
Vzdálenost v periheliu: 0,387 AU
Excentricita: 0,908
Sklon dráhy: 1,0°
Délka vzestupného uzlu: 230,7°
Argument perihelia: 286,3°
Střední anomálie: 355,5°
Epocha: 2024 NOV 13 01:54:27
orbit plot

NeinteraktivnĂ­ graf | InteraktivnĂ­ graf

position vs time
speed and acceleration