🇳🇴 🇬🇧 🇩🇪 🇨🇿 🇫🇮

Meteor Edin yllä 2024-11-13 01:54:27 UTC

KML-tiedosto  |  Interaktiivinen kartta

Kartta näyttää meteorin suuntahavainnot. Vaaleammat viivat näyttävät suunnat havaintoasemilta meteorin ilmestyessä, ja tummemmat viivat näyttävät, missä se viimeksi nähtiin. Sininen nuoli näyttää meteorin näkyvän lennon.

static map
height profile
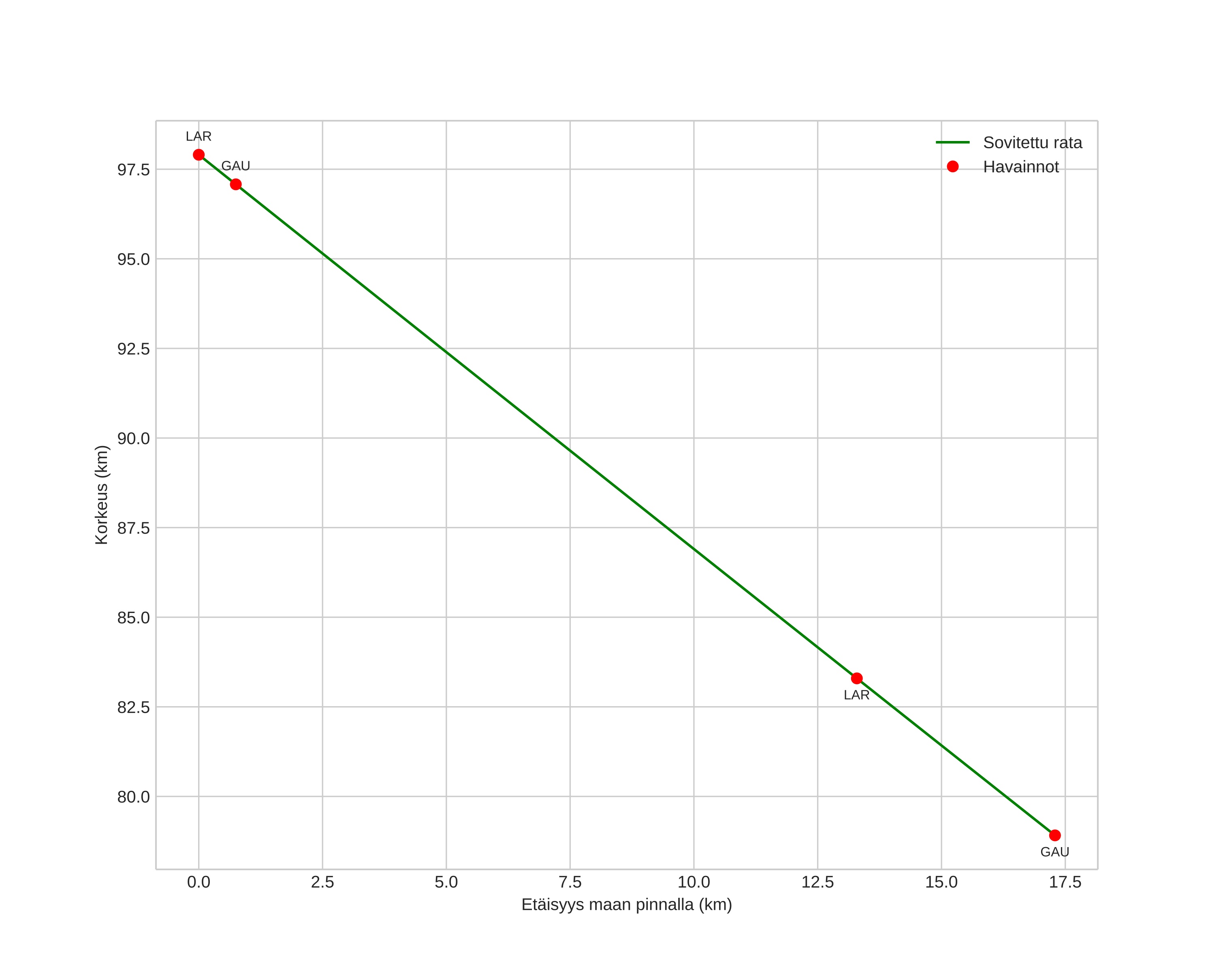
Meteorin ilmakehärata:
Alkukorkeus: 101,1 km
Loppukorkeus: 86,6 km
Alkupiste: 58,820N 11,736E
Loppupiste: 58,902N 11,924E
Suunta: 49,8°
Kallistuskulma: 45,8°
Tulonopeus: 32,0 km/s
Radiantin R,A,: 03:45 (56,5°)
Radiantin Dekl,: 20,7°
Meteoriparvi: Pohjoiset tauridit
Meteoroidin rataelementit:
Perihelietäisyys: 0,387 AU
Eksentrisyys: 0,908
Inklinaatio: 1,0°
Nousevan solmun pituus: 230,7°
Perihelin argumentti: 286,3°
Keskianomalia: 355,5°
Epookki: 2024 NOV 13 01:54:27
orbit plot

Ei-interaktiivinen kuvaaja | Interaktiivinen kuvaaja

position vs time
speed and acceleration