🇳🇴 🇬🇧 🇩🇪 🇨🇿 🇫🇮

Meteor, poloha: Hemsedal 2024-11-13 02:07:38 UTC

Soubor KML  |  InteraktivnĂ­ mapa

Mapa zobrazuje dráhy meteoru. Světlejší čáry ukazují směry od pozorovacích stanic při objevení se meteoru a tmavší čáry, kde byl naposledy viděn. Modrá šipka značí viditelnou dráhu meteoru.

static map
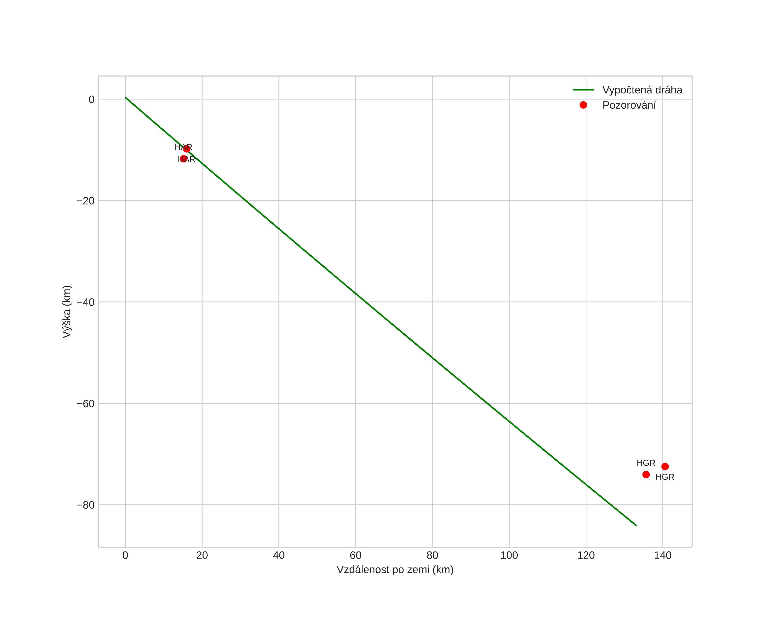
height profile
Atmosférická dráha meteoru:
Počáteční výška: 0,3 km
Konečná výška: -85,0 km
Počáteční poloha: 60,419N 10,870E
Konečná poloha: 60,827N 8,542E
Směr: 290,7°
Sklon: 32,3°
orbit plot
position vs time
speed and acceleration