🇳🇴 🇬🇧 🇩🇪 🇨🇿 🇫🇮

Meteor Hemsedalin yllä 2024-11-13 02:07:38 UTC

KML-tiedosto  |  Interaktiivinen kartta

Kartta näyttää meteorin suuntahavainnot. Vaaleammat viivat näyttävät suunnat havaintoasemilta meteorin ilmestyessä, ja tummemmat viivat näyttävät, missä se viimeksi nähtiin. Sininen nuoli näyttää meteorin näkyvän lennon.

static map
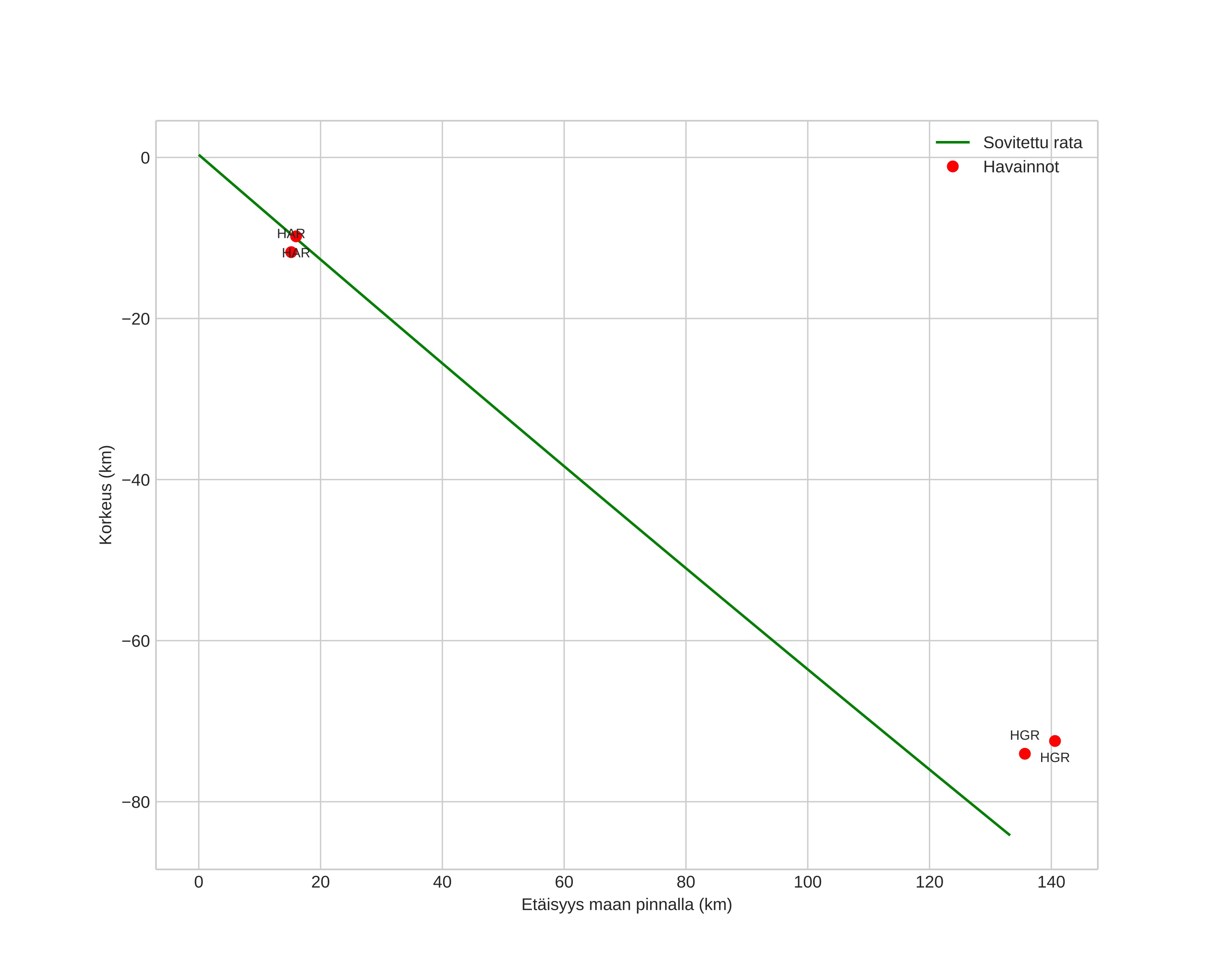
height profile
Meteorin ilmakehärata:
Alkukorkeus: 0,3 km
Loppukorkeus: -85,0 km
Alkupiste: 60,419N 10,870E
Loppupiste: 60,827N 8,542E
Suunta: 290,7°
Kallistuskulma: 32,3°
orbit plot
position vs time
speed and acceleration