🇳🇴 🇬🇧 🇩🇪 🇨🇿 🇫🇮

Meteor, poloha: Ă…mĂĄl 2024-11-13 02:10:13 UTC

Soubor KML  |  InteraktivnĂ­ mapa

Mapa zobrazuje dráhy meteoru. Světlejší čáry ukazují směry od pozorovacích stanic při objevení se meteoru a tmavší čáry, kde byl naposledy viděn. Modrá šipka značí viditelnou dráhu meteoru.

static map
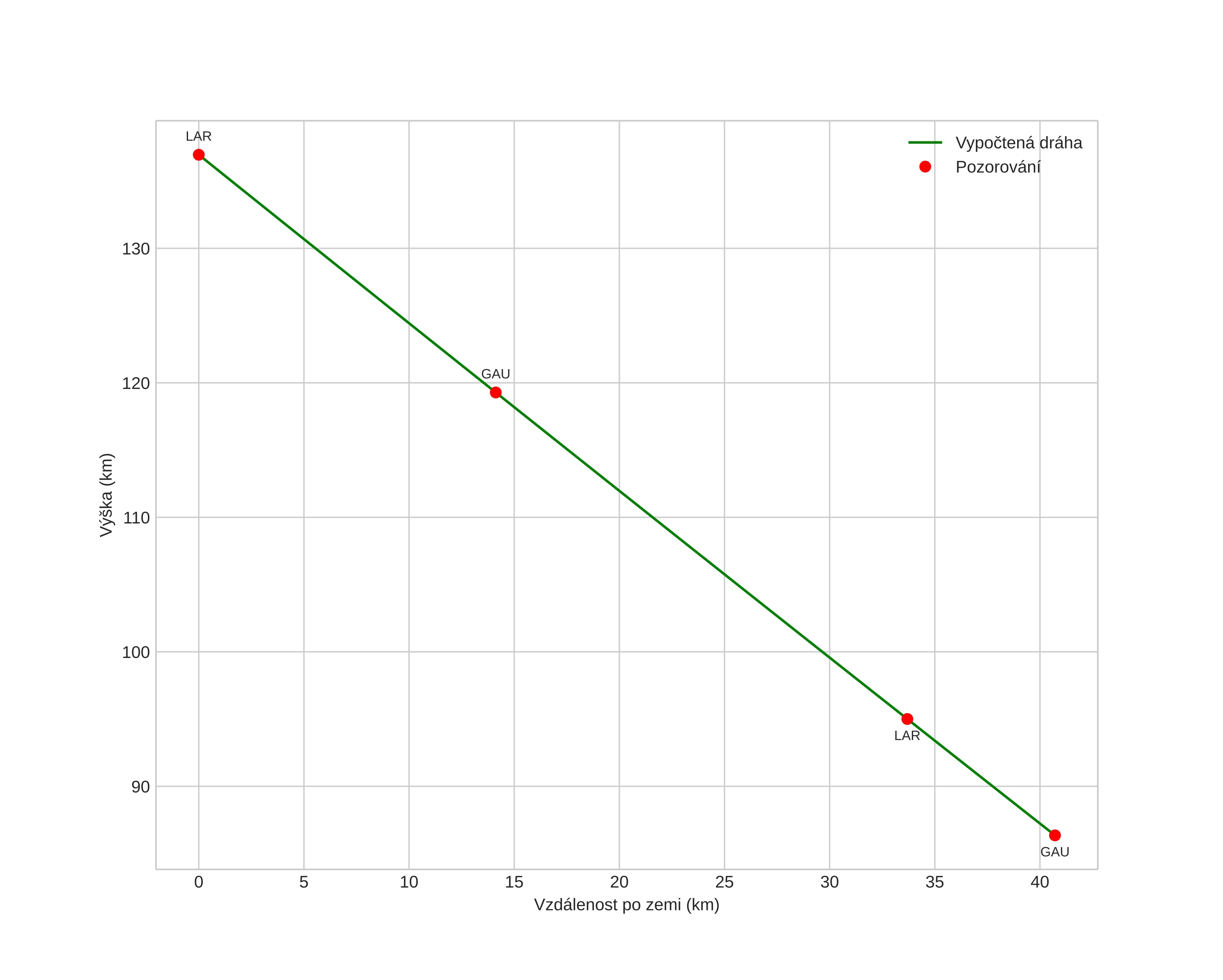
height profile
Atmosférická dráha meteoru:
Počáteční výška: 137,9 km
Konečná výška: 86,4 km
Počáteční poloha: 59,049N 13,169E
Konečná poloha: 59,128N 12,470E
Směr: 282,7°
Sklon: 51,6°
VstupnĂ­ rychlost: 46,3 km/s
Rektascenze radiantu: 09:49 (147,4°)
Deklinace radiantu: 36,7°
MeteorickĂ˝ roj: sporadickĂ˝
Elementy dráhy meteoroidu:
Vzdálenost v periheliu: 0,294 AU
Excentricita: 0,546
Sklon dráhy: 123,9°
Délka vzestupného uzlu: 230,9°
Argument perihelia: 352,2°
Střední anomálie: 202,2°
Epocha: 2024 NOV 13 02:10:13
orbit plot

NeinteraktivnĂ­ graf | InteraktivnĂ­ graf

position vs time
speed and acceleration