🇳🇴 🇬🇧 🇩🇪 🇨🇿 🇫🇮

Meteor Åmålin yllä 2024-11-13 02:10:13 UTC

KML-tiedosto  |  Interaktiivinen kartta

Kartta näyttää meteorin suuntahavainnot. Vaaleammat viivat näyttävät suunnat havaintoasemilta meteorin ilmestyessä, ja tummemmat viivat näyttävät, missä se viimeksi nähtiin. Sininen nuoli näyttää meteorin näkyvän lennon.

static map
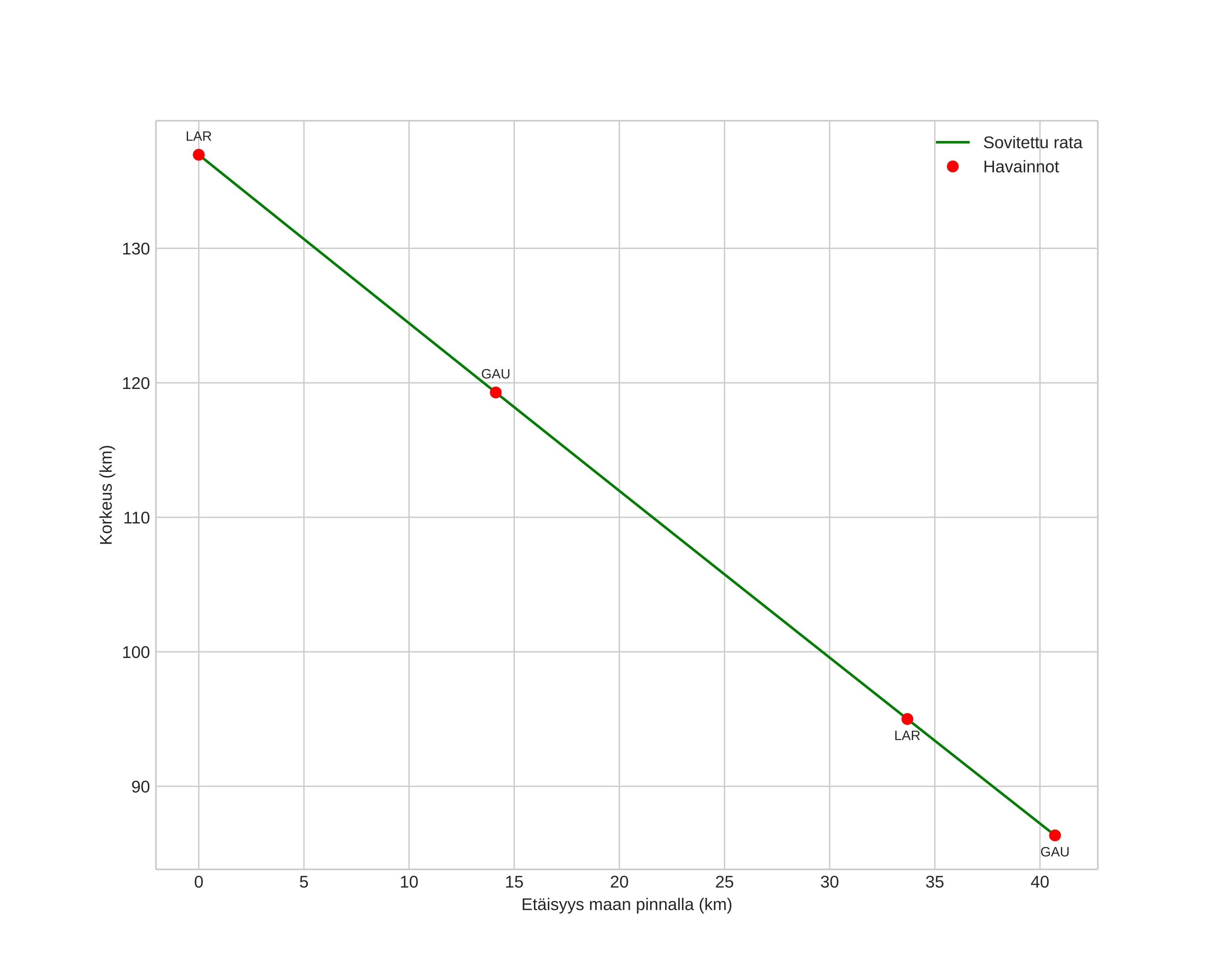
height profile
Meteorin ilmakehärata:
Alkukorkeus: 137,9 km
Loppukorkeus: 86,4 km
Alkupiste: 59,049N 13,169E
Loppupiste: 59,128N 12,470E
Suunta: 282,7°
Kallistuskulma: 51,6°
Tulonopeus: 46,3 km/s
Radiantin R,A,: 09:49 (147,4°)
Radiantin Dekl,: 36,7°
Meteoriparvi: Sporadinen
Meteoroidin rataelementit:
Perihelietäisyys: 0,294 AU
Eksentrisyys: 0,546
Inklinaatio: 123,9°
Nousevan solmun pituus: 230,9°
Perihelin argumentti: 352,2°
Keskianomalia: 202,2°
Epookki: 2024 NOV 13 02:10:13
orbit plot

Ei-interaktiivinen kuvaaja | Interaktiivinen kuvaaja

position vs time
speed and acceleration