🇳🇴 🇬🇧 🇩🇪 🇨🇿 🇫🇮

Meteor, poloha: Dokka 2024-11-13 21:08:15 UTC

Soubor KML  |  InteraktivnĂ­ mapa

Mapa zobrazuje dráhy meteoru. Světlejší čáry ukazují směry od pozorovacích stanic při objevení se meteoru a tmavší čáry, kde byl naposledy viděn. Modrá šipka značí viditelnou dráhu meteoru.

static map
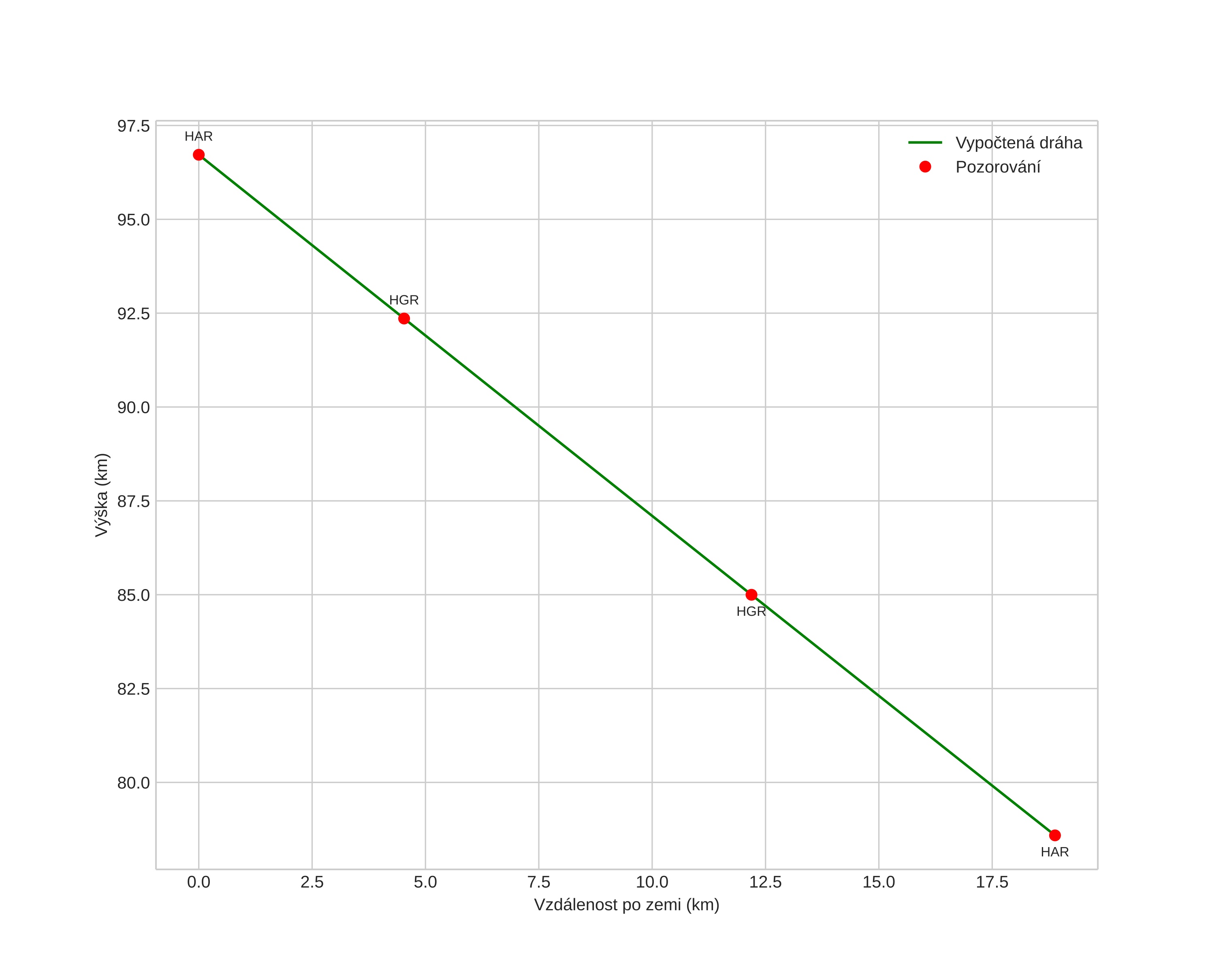
height profile
Atmosférická dráha meteoru:
Počáteční výška: 96,7 km
Konečná výška: 78,6 km
Počáteční poloha: 60,741N 10,182E
Konečná poloha: 60,842N 9,902E
Směr: 306,7°
Sklon: 43,7°
VstupnĂ­ rychlost: 30,6 km/s
Rektascenze radiantu: 03:58 (59,7°)
Deklinace radiantu: 21,5°
MeteorickĂ˝ roj: SevernĂ­ Tauridy
Elementy dráhy meteoroidu:
Vzdálenost v periheliu: 0,374 AU
Excentricita: 0,846
Sklon dráhy: 1,1°
Délka vzestupného uzlu: 231,5°
Argument perihelia: 291,1°
Střední anomálie: 349,0°
Epocha: 2024 NOV 13 21:08:15
orbit plot

NeinteraktivnĂ­ graf | InteraktivnĂ­ graf

position vs time
speed and acceleration