🇳🇴 🇬🇧 🇩🇪 🇨🇿 🇫🇮

Meteor Dokkan yllä 2024-11-13 21:08:15 UTC

KML-tiedosto  |  Interaktiivinen kartta

Kartta näyttää meteorin suuntahavainnot. Vaaleammat viivat näyttävät suunnat havaintoasemilta meteorin ilmestyessä, ja tummemmat viivat näyttävät, missä se viimeksi nähtiin. Sininen nuoli näyttää meteorin näkyvän lennon.

static map
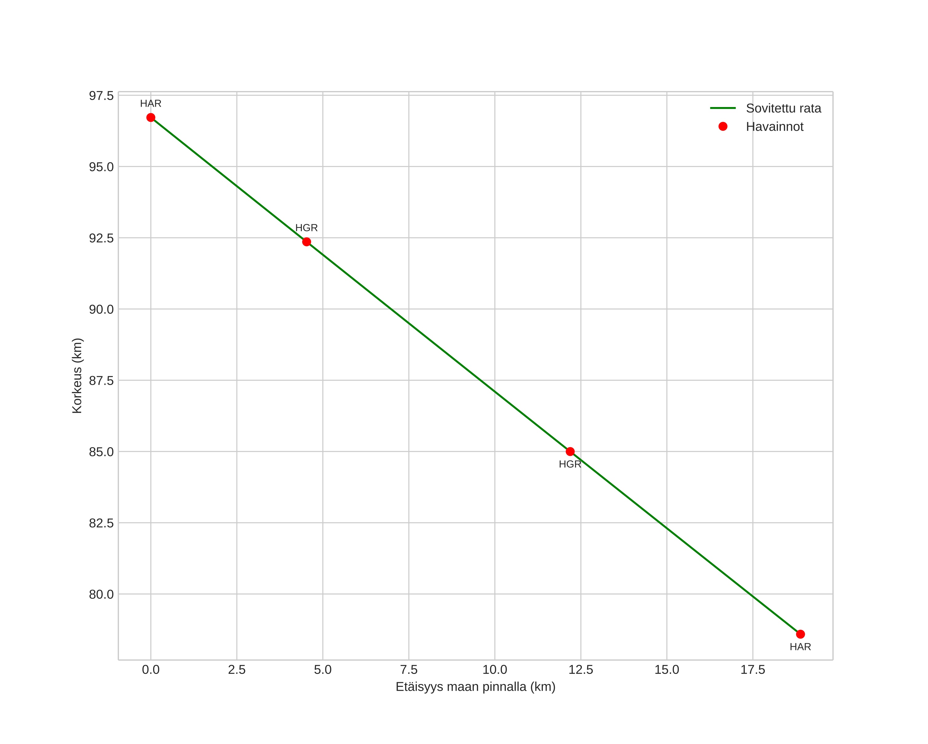
height profile
Meteorin ilmakehärata:
Alkukorkeus: 96,7 km
Loppukorkeus: 78,6 km
Alkupiste: 60,741N 10,182E
Loppupiste: 60,842N 9,902E
Suunta: 306,7°
Kallistuskulma: 43,7°
Tulonopeus: 30,6 km/s
Radiantin R,A,: 03:58 (59,7°)
Radiantin Dekl,: 21,5°
Meteoriparvi: Pohjoiset tauridit
Meteoroidin rataelementit:
Perihelietäisyys: 0,374 AU
Eksentrisyys: 0,846
Inklinaatio: 1,1°
Nousevan solmun pituus: 231,5°
Perihelin argumentti: 291,1°
Keskianomalia: 349,0°
Epookki: 2024 NOV 13 21:08:15
orbit plot

Ei-interaktiivinen kuvaaja | Interaktiivinen kuvaaja

position vs time
speed and acceleration