🇳🇴 🇬🇧 🇩🇪 🇨🇿 🇫🇮

Meteor, poloha: Malung 2024-11-13 23:20:09 UTC

Soubor KML  |  InteraktivnĂ­ mapa

Mapa zobrazuje dráhy meteoru. Světlejší čáry ukazují směry od pozorovacích stanic při objevení se meteoru a tmavší čáry, kde byl naposledy viděn. Modrá šipka značí viditelnou dráhu meteoru.

static map
height profile
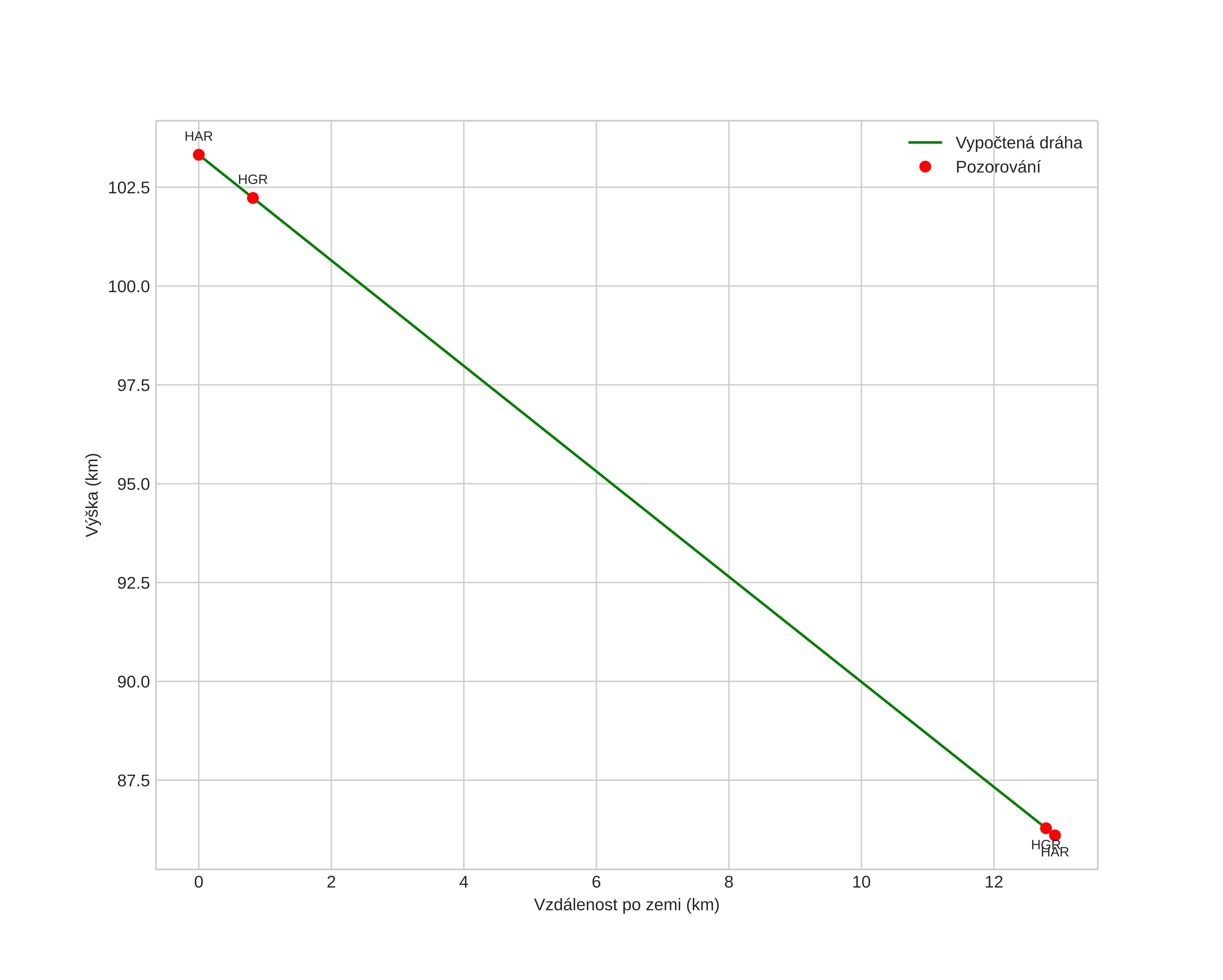
Atmosférická dráha meteoru:
Počáteční výška: 103,6 km
Konečná výška: 85,5 km
Počáteční poloha: 60,772N 13,509E
Konečná poloha: 60,654N 13,444E
Směr: 195,1°
Sklon: 52,9°
VstupnĂ­ rychlost: 45,3 km/s
Rektascenze radiantu: 12:25 (186,3°)
Deklinace radiantu: 78,6°
MeteorickĂ˝ roj: sporadickĂ˝
Elementy dráhy meteoroidu:
Vzdálenost v periheliu: 0,957 AU
Excentricita: 1,035
Sklon dráhy: 71,6°
Délka vzestupného uzlu: 231,7°
Argument perihelia: 200,7°
Střední anomálie: -0,1°
Epocha: 2024 NOV 13 23:20:09
orbit plot

NeinteraktivnĂ­ graf | InteraktivnĂ­ graf

position vs time
speed and acceleration