🇳🇴 🇬🇧 🇩🇪 🇨🇿 🇫🇮

Meteor Malungin yllä 2024-11-13 23:20:09 UTC

KML-tiedosto  |  Interaktiivinen kartta

Kartta näyttää meteorin suuntahavainnot. Vaaleammat viivat näyttävät suunnat havaintoasemilta meteorin ilmestyessä, ja tummemmat viivat näyttävät, missä se viimeksi nähtiin. Sininen nuoli näyttää meteorin näkyvän lennon.

static map
height profile
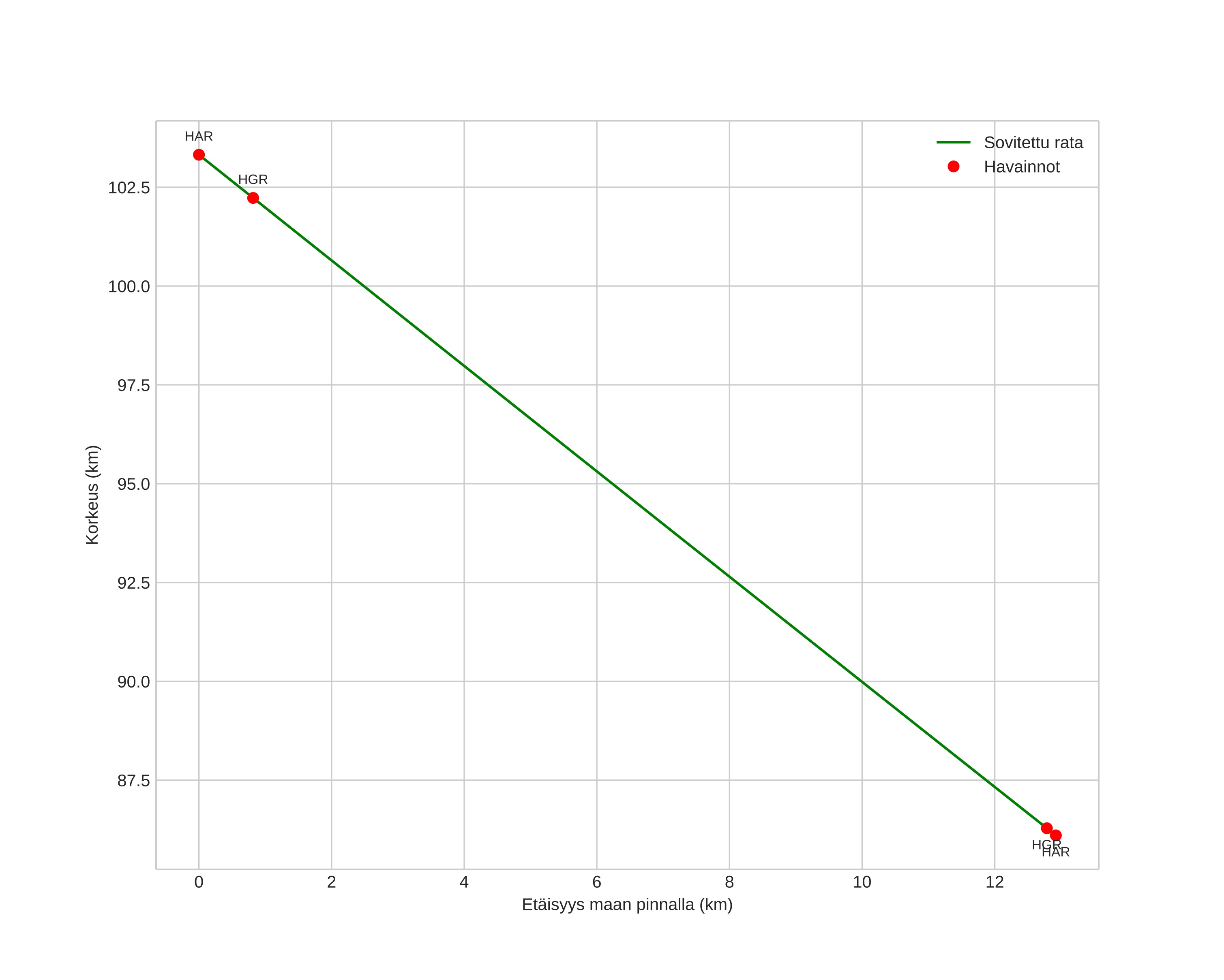
Meteorin ilmakehärata:
Alkukorkeus: 103,6 km
Loppukorkeus: 85,5 km
Alkupiste: 60,772N 13,509E
Loppupiste: 60,654N 13,444E
Suunta: 195,1°
Kallistuskulma: 52,9°
Tulonopeus: 45,3 km/s
Radiantin R,A,: 12:25 (186,3°)
Radiantin Dekl,: 78,6°
Meteoriparvi: Sporadinen
Meteoroidin rataelementit:
Perihelietäisyys: 0,957 AU
Eksentrisyys: 1,035
Inklinaatio: 71,6°
Nousevan solmun pituus: 231,7°
Perihelin argumentti: 200,7°
Keskianomalia: -0,1°
Epookki: 2024 NOV 13 23:20:09
orbit plot

Ei-interaktiivinen kuvaaja | Interaktiivinen kuvaaja

position vs time
speed and acceleration