🇳🇴 🇬🇧 🇩🇪 🇨🇿 🇫🇮

Meteor, poloha: Sand 2024-11-13 23:44:57 UTC

Soubor KML  |  InteraktivnĂ­ mapa

Mapa zobrazuje dráhy meteoru. Světlejší čáry ukazují směry od pozorovacích stanic při objevení se meteoru a tmavší čáry, kde byl naposledy viděn. Modrá šipka značí viditelnou dráhu meteoru.

static map
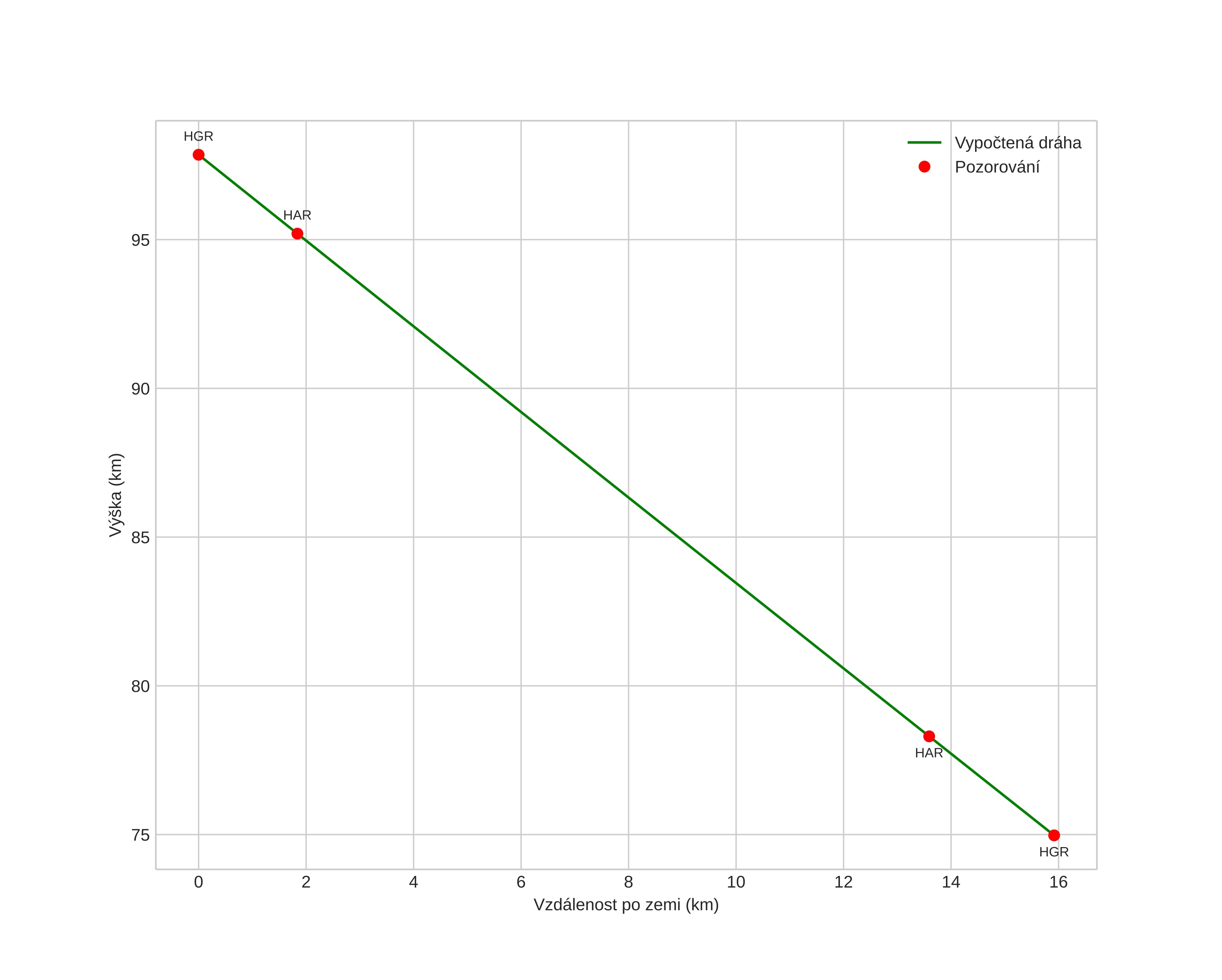
height profile
Atmosférická dráha meteoru:
Počáteční výška: 94,5 km
Konečná výška: 78,1 km
Počáteční poloha: 60,410N 11,430E
Konečná poloha: 60,516N 11,425E
Směr: 358,7°
Sklon: 54,4°
VstupnĂ­ rychlost: 29,5 km/s
Rektascenze radiantu: 04:04 (61,1°)
Deklinace radiantu: 23,3°
MeteorickĂ˝ roj: SevernĂ­ Tauridy
Elementy dráhy meteoroidu:
Vzdálenost v periheliu: 0,365 AU
Excentricita: 0,811
Sklon dráhy: 2,7°
Délka vzestupného uzlu: 231,7°
Argument perihelia: 294,1°
Střední anomálie: 344,2°
Epocha: 2024 NOV 13 23:44:57
orbit plot

NeinteraktivnĂ­ graf | InteraktivnĂ­ graf

position vs time
speed and acceleration